Online Database of Chemicals from Around the World

剑麻皂素 3-O-beta-D-吡喃葡萄糖基(1-2)(beta-D-吡喃葡萄糖基(1-3)(6-O-乙酰基-beta-D-吡喃葡萄糖基))(1-4)-beta-D-吡喃半乳糖苷
[CAS# 143049-27-8]

供应商
CAS#: 143049-27-8
产品: 剑麻皂素 3-O-beta-D-吡喃葡萄糖基(1-2)(beta-D-吡喃葡萄糖基(1-3)(6-O-乙酰基-beta-D-吡喃葡萄糖基))(1-4)-beta-D-吡喃半乳糖苷
暂时没有厂家供应该产品。
基本信息
产品名称 剑麻皂素 3-O-beta-D-吡喃葡萄糖基(1-2)(beta-D-吡喃葡萄糖基(1-3)(6-O-乙酰基-beta-D-吡喃葡萄糖基))(1-4)-beta-D-吡喃半乳糖苷
英文名 Tigogenin 3-O-beta-D-Glucopyranosyl(1-2)(beta-D-Glucopyranosyl(1-3)(6-O-Acetyl-beta-D-Glucopyranosyl))(1-4)-beta-D-Galactopyranoside
别名 Beta-D-Galactopyranoside, (3Beta,5Alpha,25R)-Spirostan-3-Yl O-Beta-D-Glucopyranosyl-(1-2)-O-(Beta-D-Glucopyranosyl-(1-3))-O-6-O-Acetyl-Beta-D-Glucopyranosyl-(1-4)-
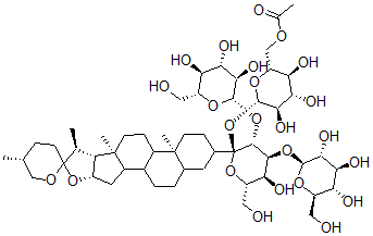
分子结构 CAS 登录号:143049-27-8, 剑麻皂素 3-O-beta-D-吡喃葡萄糖基(1-2)(beta-D-吡喃葡萄糖基(1-3)(6-O-乙酰基-beta-D-吡喃葡萄糖基))(1-4)-beta-D-吡喃半乳糖苷
分子式 C53H86O24
分子量 1107.25
CAS 登录号 143049-27-8
分子行输入简码 SMILES [C@@H]23[C@@H](OC1(OC[C@@H](CC1)C)[C@H]2C)CC4[C@@]3(CCC5C4CCC6[C@@]5(CCC(C6)[C@]8(O[C@H]([C@H](O)[C@H](O[C@@H]7O[C@@H]([C@@H](O)[C@H](O)[C@H]7O)CO)[C@H]8O[C@@H]9O[C@@H]([C@@H](O)[C@H](O)[C@H]9O)CO)CO)O[C@@H]%10O[C@@H]([C@@H](O)[C@H](O)[C@H]%10O)COC(=O)C)C)C
国际化学标识码 InChI 1S/C53H86O24/c1-21-8-13-52(69-19-21)22(2)34-29(75-52)15-28-26-7-6-24-14-25(9-11-50(24,4)27(26)10-12-51(28,34)5)53(77-49-44(67)41(64)37(60)33(72-49)20-68-23(3)57)46(74-48-43(66)40(63)36(59)31(17-55)71-48)45(38(61)32(18-56)76-53)73-47-42(65)39(62)35(58)30(16-54)70-47/h21-22,24-49,54-56,58-67H,6-20H2,1-5H3/t21-,22+,24?,25?,26?,27?,28?,29+,30-,31-,32+,33-,34+,35-,36-,37-,38+,39+,40+,41+,42-,43-,44-,45+,46-,47+,48+,49+,50+,51+,52?,53+/m1/s1
国际化学标识检索码 InChIKey DYIQIQXTTUXBQD-DZYXBILISA-N
物理化学性质
密度 1.503g/cm3 (计算值)
市场分析报告
请浏览剑麻皂素 3-O-beta-D-吡喃葡萄糖基(1-2)(beta-D-吡喃葡萄糖基(1-3)(6-O-乙酰基-beta-D-吡喃葡萄糖基))(1-4)-beta-D-吡喃半乳糖苷市场分析报告总目录
相关产品
5-烯丙基-5-(beta-羟基丙基)-N-苯基巴...  alpha-烯丙基-alpha-脲甲酰基-gamm...  1,3-二甲基-5-硝基-巴比妥酸  [(2S)-2,3-二(二十三碳-10,12-二炔...  4-[(2Z)-2-(1-丁基-5-氰基-4-甲基...  N-[4-(4-乙基哌嗪-1-基)苯基]吖啶-9-...  乌苏-12-烯-28-酸3-丙二酸单酯  2-氨基-2-脱氧山梨糖醇  2-氨基-2-脱氧半乳糖醛酸  3-膦酰-2-亚氨基-1-甲基-4-氧代咪唑烷  钙联铬酸盐  铵[R-(R*,R*)]-酒石酸盐  1-[(5-甲基-1H-咪唑-4-基)甲基]-3-...  N,N-二乙基-2-(苯基氨基)乙酰胺  (3aS-(3aalpha,4alpha,10aR...