Online Database of Chemicals from Around the World

9-(N-甲基-L-异亮氨酸)环孢菌素A
[CAS# 143205-42-9]

供应商
CAS#: 143205-42-9
产品: 9-(N-甲基-L-异亮氨酸)环孢菌素A
暂时没有厂家供应该产品。
基本信息
产品名称 9-(N-甲基-L-异亮氨酸)环孢菌素A
英文名 9-(N-Methyl-L-isoleucine)cyclosporin A
别名 30-Ethyl-33-[(E)-1-Hydroxy-2-Methyl-Hex-4-Enyl]-6,9,18-Triisobutyl-3,21-Diisopropyl-1,4,7,10,12,15,19,25,28-Nonamethyl-24-Sec-Butyl-1,4,7,10,13,16,19,22,25,28,31-Undecazacyclotritriacontane-2,5,8,11,14,17,20,23,26,29,32-Undecone; 30-Ethyl-33-[(E)-1-Hydroxy-2-Methylhex-4-Enyl]-6,9,18-Triisobutyl-3,21-Diisopropyl-1,4,7,10,12,15,19,25,28-Nonamethyl-24-Sec-Butyl-1,4,7,10,13,16,19,22,25,28,31-Undecazacyclotritriacontane-2,5,8,11,14,17,20,23,26,29,32-Undecone; 24-Butan-2-Yl-30-Ethyl-33-[(E)-1-Hydroxy-2-Methyl-Hex-4-Enyl]-1,4,7,10,12,15,19,25,28-Nonamethyl-6,9,18-Tris(2-Methylpropyl)-3,21-Di(Propan-2-Yl)-1,4,7,10,13,16,19,22,25,28,31-Undecazacyclotritriacontane-2,5,8,11,14,17,20,23,26,29,32-Undecone
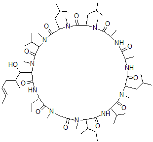
分子结构 CAS 登录号:143205-42-9, 9-(N-甲基-L-异亮氨酸)环孢菌素A
分子式 C62H111N11O12
分子量 1202.63
CAS 登录号 143205-42-9
分子行输入简码 SMILES C(C)C(C)C1N(C)C(=O)CN(C)C(=O)C(CC)NC(=O)C(C(O)C(C)C\C=C\C)N(C)C(=O)C(C(C)C)N(C)C(=O)C(CC(C)C)N(C)C(=O)C(CC(C)C)N(C)C(=O)C(C)NC(=O)C(C)NC(=O)C(CC(C)C)N(C)C(=O)C(NC1=O)C(C)C
国际化学标识码 InChI 1S/C62H111N11O12/c1-25-28-29-40(15)52(75)51-56(79)65-43(27-3)58(81)67(18)33-47(74)71(22)50(39(14)26-2)55(78)66-48(37(10)11)61(84)68(19)44(30-34(4)5)54(77)63-41(16)53(76)64-42(17)57(80)69(20)45(31-35(6)7)59(82)70(21)46(32-36(8)9)60(83)72(23)49(38(12)13)62(85)73(51)24/h25,28,34-46,48-52,75H,26-27,29-33H2,1-24H3,(H,63,77)(H,64,76)(H,65,79)(H,66,78)/b28-25+
国际化学标识检索码 InChIKey RPJPZDVUUKWPGT-AZPGRJICSA-N
物理化学性质
密度 1.018g/cm3 (计算值)
沸点 1293.627°C at 760 mmHg (计算值)
闪点 736.159°C (计算值)
市场分析报告
请浏览9-(N-甲基-L-异亮氨酸)环孢菌素A市场分析报告总目录
相关产品
(2R,3R,4S,5S,6R)-2-[(2R,3...  藜芦嗪  2,3-二氢-2-苯基-1H-1,3,2-二氮杂硼...  2,3-二氢-3-(2-二乙基氨基乙基)-2-苯基...  3,5-二氯-2-三氯甲基-吡啶-4-胺  二(2-羟基乙基)铵2-(4-氯-2-甲基苯氧基)...  1-环庚基-3-[4-(环庚基氨基)吡啶-3-基]...  苯甲酰基丙酮铁  4-氨基噌啉-3-羧酸  4-氨基-7-甲基噌啉-3-羧酸  钾四氰基镍酸盐(II)水合物  N-(4-(3-氨基-1,2,5,6,6a,7,9...  2-(4-氧代-2H-1,3-苯并恶嗪-3-基)乙...  2-(6-甲基-4-氧代-2H-1,3-苯并恶嗪-...  2-[(2R)-2-乙基-3H-1-苯并呋喃-2-...