Online Database of Chemicals from Around the World

甘氨酰-L-半胱氨酰-L-半胱氨酰-L-半胱氨酰-L-天冬氨酰胺酰-L-脯氨酰-L-丙氨酰-L-半胱氨酰甘氨酰-L-脯氨酰-L-天冬氨酰胺酰-L-酪氨酰甘氨酰-L-半胱氨酰甘氨酰-L-苏氨酰-L-丝氨酰-L-半胱氨酰-L-丝氨酸
[CAS# 143294-31-9]

基本信息
产品名称 甘氨酰-L-半胱氨酰-L-半胱氨酰-L-半胱氨酰-L-天冬氨酰胺酰-L-脯氨酰-L-丙氨酰-L-半胱氨酰甘氨酰-L-脯氨酰-L-天冬氨酰胺酰-L-酪氨酰甘氨酰-L-半胱氨酰甘氨酰-L-苏氨酰-L-丝氨酰-L-半胱氨酰-L-丝氨酸
英文名 Glycyl-L-Cysteinyl-L-Cysteinyl-L-Cysteinyl-L-Asparaginyl-L-Prolyl-L-Alanyl-L-Cysteinylglycyl-L-Prolyl-L-Asparaginyl-L-Tyrosylglycyl-L-Cysteinylglycyl-L-Threonyl-L-Seryl-L-Cysteinyl-L-Serine
别名 Alpha-Conotoxin Sii
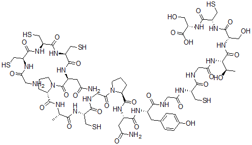
分子结构 CAS 登录号:143294-31-9, 甘氨酰-L-半胱氨酰-L-半胱氨酰-L-半胱氨酰-L-天冬氨酰胺酰-L-脯氨酰-L-丙氨酰-L-半胱氨酰甘氨酰-L-脯氨酰-L-天冬氨酰胺酰-L-酪氨酰甘氨酰-L-半胱氨酰甘氨酰-L-苏氨酰-L-丝氨酰-L-半胱氨酰-L-丝氨酸
分子式 C66H101N21O26S6
分子量 1797.01
CAS 登录号 143294-31-9
分子行输入简码 SMILES [C@@H](NC(CN)=O)(C(=O)N[C@H](C(=O)N[C@H](C(=O)N[C@H](C(=O)N3[C@H](C(=O)N[C@@H](C)C(=O)N[C@H](C(=O)NCC(=O)N2[C@H](C(=O)N[C@H](C(=O)N[C@H](C(=O)NCC(=O)N[C@H](C(=O)NCC(=O)N[C@H](C(=O)N[C@H](C(=O)N[C@H](C(=O)N[C@H](C(=O)O)CO)CS)CO)[C@H](O)C)CS)CC1=CC=C(C=C1)O)CC(=O)N)CCC2)CS)CCC3)CC(=O)N)CS)CS)CS
国际化学标识码 InChI 1S/C66H101N21O26S6/c1-28(73-62(108)44-6-4-12-87(44)65(111)34(15-46(69)93)78-59(105)40(25-117)84-61(107)42(27-119)83-58(104)39(24-116)74-47(94)16-67)52(98)81-38(23-115)55(101)72-19-50(97)86-11-3-5-43(86)63(109)77-33(14-45(68)92)56(102)76-32(13-30-7-9-31(91)10-8-30)53(99)70-17-48(95)75-37(22-114)54(100)71-18-49(96)85-51(29(2)90)64(110)79-35(20-88)57(103)82-41(26-118)60(106)80-36(21-89)66(112)113/h7-10,28-29,32-44,51,88-91,114-119H,3-6,11-27,67H2,1-2H3,(H2,68,92)(H2,69,93)(H,70,99)(H,71,100)(H,72,101)(H,73,108)(H,74,94)(H,75,95)(H,76,102)(H,77,109)(H,78,105)(H,79,110)(H,80,106)(H,81,98)(H,82,103)(H,83,104)(H,84,107)(H,85,96)(H,112,113)/t28-,29+,32-,33-,34-,35-,36-,37-,38-,39-,40-,41-,42-,43-,44-,51-/m0/s1
国际化学标识检索码 InChIKey YNWQPDMRDQFPAV-HQGLSJOVSA-N
物理化学性质
密度 1.467g/cm3 (计算值)
沸点 2252.7°C at 760 mmHg (计算值)
闪点 1316.2°C (计算值)
市场分析报告
请浏览甘氨酰-L-半胱氨酰-L-半胱氨酰-L-半胱氨酰-L-天冬氨酰胺酰-L-脯氨酰-L-丙氨酰-L-半胱氨酰甘氨酰-L-脯氨酰-L-天冬氨酰胺酰-L-酪氨酰甘氨酰-L-半胱氨酰甘氨酰-L-苏氨酰-L-丝氨酰-L-半胱氨酰-L-丝氨酸市场分析报告总目录
相关产品
19-氢过氧基-20-羟基二十烷酸  [4-(2,3-二氨基-3-氧代丙基)苯基]2-甲...  N-(2-吲哚-1-基乙基)-N-甲基苯胺  (3-羟基-2-膦酰氧基丙基)2-氨基苯甲酸酯  N-(2-氨基乙基)-N-[2-[[(E)-3-(...  8-[(2S,3S,4R)-2,3,4,5-四羟基...  脲-D4  N-十七烷基丙烷-1,3-二胺  1,2-二氢-1-萘基-5H-四唑-5-硫酮  6-(4,5-二羟基-4,6-二甲基四氢吡喃-2-...  2-乙基-4(1H)-嘧啶酮  2,4-二甲基-嘧啶  [(Z)-二十二-13-烯基]2-三甲基铵乙基磷酸...  2,6-二(3,4-二甲氧基苯基)四氢吡喃  铋-210