Online Database of Chemicals from Around the World

色皂苷I
[CAS# 143519-54-4]

供应商
International Laboratory Limited 美国 询价快递  
+1 (650) 278-9963
admin@intlab.org
化学品生产商(2002 年起)
基本信息
产品名称 色皂苷I
英文名 Chromosaponin I
别名 (2S,3S,4S,5R,6R)-6-[[(3S,4S,4Ar,6Ar,6Bs,8Ar,9R,12As,14Ar,14Br)-4-(Hydroxymethyl)-9-[[(2R)-5-Hydroxy-6-Methyl-4-Oxo-2,3-Dihydropyran-2-Yl]Oxy]-4,6A,6B,8A,11,11,14B-Heptamethyl-1,2,3,4A,5,6,7,8,9,10,12,12A,14,14A-Tetradecahydropicen-3-Yl]Oxy]-5-[(2S,3R,4S,5R,6R)-4,5-Dihydroxy-6-(Hydroxymethyl)-3-[(2S,3R,4R,5R,6S)-3,4,5-Trihydroxy-6-Methyl-Tetrahydropyran-2-Yl]Oxy-Tetrahydropyran-2-Yl]Oxy-3,4-Dihydroxy-Tetrahydropyran-2-Carboxylic Acid; (2S,3S,4S,5R,6R)-6-[[(3S,4S,4Ar,6Ar,6Bs,8Ar,9R,12As,14Ar,14Br)-4-(Hydroxymethyl)-9-[[(2R)-5-Hydroxy-6-Methyl-4-Oxo-2,3-Dihydropyran-2-Yl]Oxy]-4,6A,6B,8A,11,11,14B-Heptamethyl-1,2,3,4A,5,6,7,8,9,10,12,12A,14,14A-Tetradecahydropicen-3-Yl]Oxy]-5-[[(2S,3R,4S,5R,6R)-4,5-Dihydroxy-6-(Hydroxymethyl)-3-[[(2S,3R,4R,5R,6S)-3,4,5-Trihydroxy-6-Methyl-2-Tetrahydropyranyl]Oxy]-2-Tetrahydropyranyl]Oxy]-3,4-Dihydroxy-2-Tetrahydropyrancarboxylic Acid; (2S,3S,4S,5R,6R)-6-[[(3S,4S,4Ar,6Ar,6Bs,8Ar,9R,12As,14Ar,14Br)-9-[[(2R)-5-Hydroxy-4-Keto-6-Methyl-2,3-Dihydropyran-2-Yl]Oxy]-4,6A,6B,8A,11,11,14B-Heptamethyl-4-Methylol-1,2,3,4A,5,6,7,8,9,10,12,12A,14,14A-Tetradecahydropicen-3-Yl]Oxy]-5-[(2S,3R,4S,5R,6R)-4,5-Dihydroxy-6-Methylol-3-[(2S,3R,4R,5R,6S)-3,4,5-Trihydroxy-6-Methyl-Tetrahydropyran-2-Yl]Oxy-Tetrahydropyran-2-Yl]Oxy-3,4-Dihydroxy-Tetrahydropyran-2-Carboxylic Acid
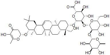
分子结构 CAS 登录号:143519-54-4, 色皂苷I
分子式 C54H84O21
分子量 1069.25
CAS 登录号 143519-54-4
分子行输入简码 SMILES [C@]28(C(=CC[C@@H]3[C@]1(CC[C@@H]([C@@]([C@@H]1CC[C@@]23C)(CO)C)O[C@H]4[C@@H]([C@@H](O)[C@@H]([C@H](O4)C(=O)O)O)O[C@H]5[C@@H]([C@@H](O)[C@H]([C@H](O5)CO)O)O[C@H]6[C@@H]([C@H](O)[C@H]([C@@H](O6)C)O)O)C)[C@@H]7CC(C)(C)C[C@H]([C@@]7(CC8)C)O[C@@H]9OC(=C(C(C9)=O)O)C)C
国际化学标识码 InChI 1S/C54H84O21/c1-23-34(58)27(57)18-33(68-23)71-32-20-49(3,4)19-26-25-10-11-30-51(6)14-13-31(52(7,22-56)29(51)12-15-54(30,9)53(25,8)17-16-50(26,32)5)72-48-44(40(64)39(63)42(73-48)45(66)67)75-47-43(38(62)36(60)28(21-55)70-47)74-46-41(65)37(61)35(59)24(2)69-46/h10,24,26,28-33,35-44,46-48,55-56,58-65H,11-22H2,1-9H3,(H,66,67)/t24-,26-,28+,29+,30+,31-,32+,33-,35-,36-,37+,38-,39-,40-,41+,42-,43+,44+,46-,47-,48+,50+,51-,52+,53+,54+/m0/s1
国际化学标识检索码 InChIKey ONAAMCDHQSWPDU-BKUHCKHBSA-N
物理化学性质
密度 1.435g/cm3 (计算值)
市场分析报告
请浏览色皂苷I市场分析报告总目录
相关产品
2-甲基-4-吡咯烷-1-基苯胺盐酸盐  6,7-二甲氧基-1-(3,4-二甲氧基苯基)-3...  (4,5-二氢-噻唑-2-基)-[2-(4-甲氧基...  柱孢藻毒素  中位卟啉锌  硫代碳酸O-(2-仲-丁基-4,6-二硝基苯基)S...  硫代碳酸O-(2-仲-丁基-4,6-二硝基苯基)S...  溴二碘硼烷  Ustiloxin A  N,N'-二(2-羟基-5-(乙烯-beta-羧基...  4-(4-硝基苯基偶氮)苯酚  4-十二烷基苯磺酸铵盐  2-(4-甲基-1-环己-3-烯基)丙-2-基膦酰...  (6R,7R)-6-羟基-7-甲基-6,7-二氢-...  1-[2-(2-羧基乙氧基)乙基]-1-(2-羧基...