Online Database of Chemicals from Around the World

纽莫康定C(0)
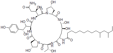
[CAS# 144074-96-4]

供应商
Molcan Corporation 美国 询价快递  
+1 (905) 731-5537
info@molcan.com
化学品生产商
基本信息
产品名称 纽莫康定C(0)
英文名 Pneumocandin C(0)
别名 Aids027828; Pneumocandin Co; Pneumocandin C(0)
分子结构 CAS 登录号:144074-96-4, 纽莫康定C(0)
分子式 C50H80N8O17
分子量 1065.23
CAS 登录号 144074-96-4
分子行输入简码 SMILES [C@H]13N(C[C@H](O)C1)C(=O)[C@@H](NC(=O)C(NC(=O)CCCCCCCCC(CC(CC)C)C)C[C@H](O)[C@@H](O)NC(=O)[C@H]2N(C[C@H](O)C2)C(=O)[C@@H](NC(=O)[C@@H](NC3=O)C(O)[C@H](O)C4=CC=C(O)C=C4)[C@H](O)CC(=O)N)[C@H](O)C
国际化学标识码 InChI 1S/C50H80N8O17/c1-5-25(2)18-26(3)12-10-8-6-7-9-11-13-38(66)52-32-21-36(64)47(72)56-46(71)34-20-31(62)24-58(34)50(75)40(35(63)22-37(51)65)54-48(73)41(43(68)42(67)28-14-16-29(60)17-15-28)55-45(70)33-19-30(61)23-57(33)49(74)39(27(4)59)53-44(32)69/h14-17,25-27,30-36,39-43,47,59-64,67-68,72H,5-13,18-24H2,1-4H3,(H2,51,65)(H,52,66)(H,53,69)(H,54,73)(H,55,70)(H,56,71)/t25?,26?,27-,30-,31-,32?,33+,34+,35-,36+,39+,40+,41+,42-,43?,47-/m1/s1
国际化学标识检索码 InChIKey IPMHTGKXJQHTQV-YWVCOZMLSA-N
物理化学性质
密度 1.411g/cm3 (计算值)
沸点 1442.936°C at 760 mmHg (计算值)
闪点 826.458°C (计算值)
市场分析报告
请浏览纽莫康定C(0)市场分析报告总目录
相关产品
3-O-beta-D-吡喃葡萄糖基(1-3)(be...  1-(2-(乙基苯基氨基)乙基)吡啶鎓氯化物  1-[2-[[4-[(2,6-二氯-4-硝基苯基)...  1-[2-[乙基[4-[(5-硝基噻唑-2-基)偶...  7-[[4-氯-6-[(3-磺基苯基)氨基]-1,...  7-[[4-氯-6-[(4-磺基苯基)氨基]-1,...  2-(8-十七碳烯基)-4-甲基-2-恶唑啉-4-...  [(2R,3S,4R,5R)-5-(2-氨基-6-...  2-[3-[2-[3-(2-二甲基氨基乙基硫基)苯...  纽莫康定D(0)  二(2-氯乙基)铵六氯锡酸盐  [(1,1-二氧代-3-四氢噻吩基)氨基]二硫代甲...  萘-1,4,5,8-四羧酸四锂盐  2-[(4-甲氧基苯基)甲基]-3,4-二甲基吡喃...  3,4-二甲基-2-(噻吩-2-基甲基)吡喃并[6...