Online Database of Chemicals from Around the World

Co-(羧甲基)钴胺素
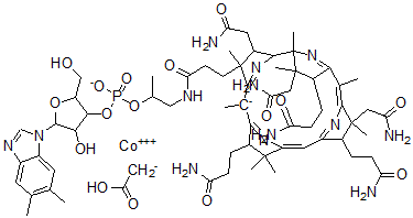
[CAS# 14517-61-4]

供应商
CAS#: 14517-61-4
产品: Co-(羧甲基)钴胺素
暂时没有厂家供应该产品。
基本信息
产品名称 Co-(羧甲基)钴胺素
英文名 Co-(Carboxymethyl)Cobalamin
别名 Co-(Carboxymethyl)Cobalamin; Cobinamide, Co-(Carboxymethyl) Deriv., Dihydrogen Phosphate (Ester), Inner Salt, 3'-Ester With 5,6-Dimethyl-1-Alpha-D-Ribofuranosyl-1H-Benzimidazole
分子结构 CAS 登录号:14517-61-4, Co-(羧甲基)钴胺素
分子式 C64H91CoN13O16P
分子量 1388.41
CAS 登录号 14517-61-4
分子行输入简码 SMILES [Co+3].N1=C6C(C(C1(C2N=C(C(C2CC(=O)N)(CCC(=O)NCC(O[P](OC3C(O)C(OC3CO)[N]5C4=CC(=C(C=C4N=C5)C)C)([O-])=O)C)C)[C-](C8=NC(=CC7=NC(=C6C)C(C7CCC(=O)N)(CC(=O)N)C)C(C8CCC(=O)N)(C)C)C)C)(CC(=O)N)C)CCC(=O)N.[CH2-]C(=O)O
国际化学标识码 InChI 1S/C62H89N13O14P.C2H3O2.Co/c1-29-20-39-40(21-30(29)2)75(28-70-39)57-52(84)53(41(27-76)87-57)89-90(85,86)88-31(3)26-69-49(83)18-19-59(8)37(22-46(66)80)56-62(11)61(10,25-48(68)82)36(14-17-45(65)79)51(74-62)33(5)55-60(9,24-47(67)81)34(12-15-43(63)77)38(71-55)23-42-58(6,7)35(13-16-44(64)78)50(72-42)32(4)54(59)73-56;1-2(3)4;/h20-21,23,28,31,34-37,41,52-53,56-57,76,84H,12-19,22,24-27H2,1-11H3,(H2,63,77)(H2,64,78)(H2,65,79)(H2,66,80)(H2,67,81)(H2,68,82)(H,69,83)(H,85,86);1H2,(H,3,4);/q2*-1;+3/p-1
国际化学标识检索码 InChIKey HNTLJSQMBIWMTQ-UHFFFAOYSA-M
市场分析报告
请浏览Co-(羧甲基)钴胺素市场分析报告总目录
相关产品
(3Z,5Z,9Z,13Z,15Z)-8-羟基-3...  N-苄基-N-(4,5-二氢-1H-咪唑-2-基甲...  6,8,10,12-十四碳四烯酸  11(R)-羟基-6(Z),9(Z),12(Z)-...  二溴胺  溴胺  溴酸镁盐  L-半胱氨酰-L-酪氨酰-L-异亮氨酰甘氨酰-L-...  2-(二甲基氨基-氟磷酰)-N,N-二甲基乙胺  噻吩-2,3-二羧酸  1-乙酰基-N-[1-[(1-甲基氨基-1-氧代丙...  (3R,4S,5R,6R)-2-氨基-6-(羟基甲...  [4-[4-[(2-氨基-4,5-二氢-1,3-恶...  5-[[4-(4-丙-2-基氧基苯基)哌嗪-1-基...  (2R,3S,4R,5R)-6-羟基-2,3,4,...