Online Database of Chemicals from Around the World

(2S,3R,4S,5R,6R)-2-[(2R,3R,4S,5R,6R)-4,5-Dihydroxy-6-(Hydroxymethyl)-2-[(2S,3R,4S,5R,6R)-3,4,5-Trihydroxy-6-(Hydroxymethyl)Oxan-2-Yl]Oxyoxan-3-Yl]Oxy-6-(Hydroxymethyl)Oxane-3,4,5-Triol
[CAS# 145265-22-1]

Suppliers
CAS#: 145265-22-1
Product: (2S,3R,4S,5R,6R)-2-[(2R,3R,4S,5R,6R)-4,5-Dihydroxy-6-(Hydroxymethyl)-2-[(2S,3R,4S,5R,6R)-3,4,5-Trihydroxy-6-(Hydroxymethyl)Oxan-2-Yl]Oxyoxan-3-Yl]Oxy-6-(Hydroxymethyl)Oxane-3,4,5-Triol
No suppilers available for the product.
Identification
Name (2S,3R,4S,5R,6R)-2-[(2R,3R,4S,5R,6R)-4,5-Dihydroxy-6-(Hydroxymethyl)-2-[(2S,3R,4S,5R,6R)-3,4,5-Trihydroxy-6-(Hydroxymethyl)Oxan-2-Yl]Oxyoxan-3-Yl]Oxy-6-(Hydroxymethyl)Oxane-3,4,5-Triol
Synonyms (2S,3R,4S,5R,6R)-2-[(2R,3R,4S,5R,6R)-4,5-Dihydroxy-6-(Hydroxymethyl)-2-[(2S,3R,4S,5R,6R)-3,4,5-Trihydroxy-6-(Hydroxymethyl)Tetrahydropyran-2-Yl]Oxy-Tetrahydropyran-3-Yl]Oxy-6-(Hydroxymethyl)Tetrahydropyran-3,4,5-Triol; (2S,3R,4S,5R,6R)-2-[[(2R,3R,4S,5R,6R)-4,5-Dihydroxy-6-(Hydroxymethyl)-2-[[(2S,3R,4S,5R,6R)-3,4,5-Trihydroxy-6-(Hydroxymethyl)-2-Tetrahydropyranyl]Oxy]-3-Tetrahydropyranyl]Oxy]-6-(Hydroxymethyl)Tetrahydropyran-3,4,5-Triol; (2S,3R,4S,5R,6R)-2-[(2R,3R,4S,5R,6R)-4,5-Dihydroxy-6-Methylol-2-[(2S,3R,4S,5R,6R)-3,4,5-Trihydroxy-6-Methylol-Tetrahydropyran-2-Yl]Oxy-Tetrahydropyran-3-Yl]Oxy-6-Methylol-Tetrahydropyran-3,4,5-Triol
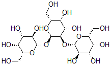
Molecular Structure CAS#: 145265-22-1, (2S,3R,4S,5R,6R)-2-[(2R,3R,4S,5R,6R)-4,5-Dihydroxy-6-(Hydroxymethyl)-2-[(2S,3R,4S,5R,6R)-3,4,5-Trihydroxy-6-(Hydroxymethyl)Oxan-2-Yl]Oxyoxan-3-Yl]Oxy-6-(Hydroxymethyl)Oxane-3,4,5-Triol
Molecular Formula C18H32O16
Molecular Weight 504.44
CAS Registry Number 145265-22-1
SMILES [C@H]3(O[C@@H]1O[C@@H]([C@H](O)[C@H](O)[C@H]1O)CO)[C@@H](O[C@@H]2O[C@@H]([C@H](O)[C@H](O)[C@H]2O)CO)O[C@@H]([C@H](O)[C@@H]3O)CO
InChI 1S/C18H32O16/c19-1-4-7(22)10(25)13(28)16(30-4)33-15-12(27)9(24)6(3-21)32-18(15)34-17-14(29)11(26)8(23)5(2-20)31-17/h4-29H,1-3H2/t4-,5-,6-,7+,8+,9+,10+,11+,12+,13-,14-,15-,16+,17+,18-/m1/s1
InChIKey ZZQBFMYCMRVZFG-NJYLIVSUSA-N
Properties
Density 1.81g/cm3 (Cal.)
Boiling point 871.33°C at 760 mmHg (Cal.)
Flash point 480.763°C (Cal.)
Market Analysis Reports
List of Reports Available for (2S,3R,4S,5R,6R)-2-[(2R,3R,4S,5R,6R)-4,5-Dihydroxy-6-(Hydroxymethyl)-2-[(2S,3R,4S,5R,6R)-3,4,5-Trihydroxy-6-(Hydroxymethyl)Oxan-2-Yl]Oxyoxan-3-Yl]Oxy-6-(Hydroxymethyl)Oxane-3,4,5-Triol
Related Products
Neosulfakinin-I  2-Methyl-2-Thiopseudourea Sulfate  Tyrosyl-leucyl-N-methylphenylalanyl-glut...  [(2R,3S,5R)-5-[4-[2-[(4-Azido-2,3,5,6-Te...  6-(2-Aminopropyl)-1,3-Benzodioxol-5-Ol  (8alpha,9R)-9-Chloro-6'-Methoxycinchonan  (8alpha)-6'-Methoxycinchonan  6'-Methoxycinchonan-9-One  1,1,1-Trifluoro-3-(2-Thienyl)Acetone  2-[4-[3-(Tert-Butylamino)-2-Hydroxypropo...  (7Z,9E,11S,13Z)-11-Hydroperoxyhexadeca-7...  N-[3-[1-[2-(8-Chloro-6-Oxo-5H-Pyrido[2,3...  3-[[1-[[2-Chloro-6-(2H-Tetrazol-5-Yl)Phe...  4-(2,5-Dimethylphenyl)Butanoic Acid  (1R)-3-(1-Adamantyl)-1-(Aminomethyl)Isoc...