Online Database of Chemicals from Around the World

Biotin-36-dutp
[CAS# 145396-04-9]

Suppliers
Achemica Switzerland Inquire  
+41 (24) 466-2929
contact@achemica.com
Chemical manufacturer since 2010
Identification
Name Biotin-36-dutp
Synonyms [5-[2,4-Dioxo-5-[3-[2-[2-[2-[2-[2-[2-[6-[6-[5-(2-Oxo-1,3,3A,4,6,6A-Hexahydrothieno[3,4-D]Imidazol-6-Yl)Pentanoylamino]Hexanoylamino]Hexanoylamino]Ethoxy]Ethoxy]Ethoxy]Ethoxy]Ethoxy]Ethoxy]Prop-1-Ynyl]Pyrimidin-1-Yl]-3-Hydroxy-Tetrahydrofuran-2-Yl]Methyl (Hydroxy-Phosphonooxy-Phosphoryl) Hydrogen Phosphate; [5-[2,4-Dioxo-5-[3-[2-[2-[2-[2-[2-[2-[[1-Oxo-6-[[1-Oxo-6-[[1-Oxo-5-(2-Oxo-1,3,3A,4,6,6A-Hexahydrothieno[3,4-D]Imidazol-6-Yl)Pentyl]Amino]Hexyl]Amino]Hexyl]Amino]Ethoxy]Ethoxy]Ethoxy]Ethoxy]Ethoxy]Ethoxy]Prop-1-Ynyl]-1-Pyrimidinyl]-3-Hydroxy-2-Tetrahydrofuranyl]Methyl (Hydroxy-Phosphonooxyphosphoryl) Hydrogen Phosphate; [5-[2,4-Diketo-5-[3-[2-[2-[2-[2-[2-[2-[6-[6-[5-(2-Keto-1,3,3A,4,6,6A-Hexahydrothieno[3,4-D]Imidazol-6-Yl)Pentanoylamino]Hexanoylamino]Hexanoylamino]Ethoxy]Ethoxy]Ethoxy]Ethoxy]Ethoxy]Ethoxy]Prop-1-Ynyl]Pyrimidin-1-Yl]-3-Hydroxy-Tetrahydrofuran-2-Yl]Methyl (Hydroxy-Phosphonooxy-Phosphoryl) Hydrogen Phosphate
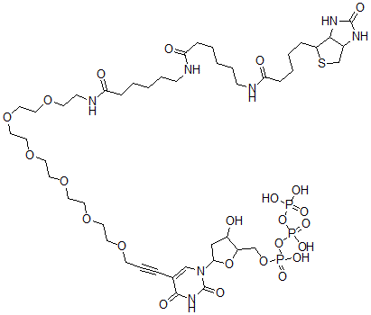
Molecular Structure CAS#: 145396-04-9, Biotin-36-dutp
Molecular Formula C46H78N7O24P3S
Molecular Weight 1238.14
CAS Registry Number 145396-04-9
SMILES C(C#CC1=CN(C(NC1=O)=O)C2CC(C(CO[P](O[P](O[P](O)(=O)O)(=O)O)(=O)O)O2)O)OCCOCCOCCOCCOCCOCCNC(CCCCCNC(CCCCCNC(CCCCC3SCC4C3NC(N4)=O)=O)=O)=O
InChI 1S/C46H78N7O24P3S/c54-36-30-42(75-37(36)32-74-79(64,65)77-80(66,67)76-78(61,62)63)53-31-34(44(58)52-46(53)60)10-9-18-68-20-22-70-24-26-72-28-29-73-27-25-71-23-21-69-19-17-49-41(57)13-4-2-8-15-47-39(55)12-3-1-7-16-48-40(56)14-6-5-11-38-43-35(33-81-38)50-45(59)51-43/h31,35-38,42-43,54H,1-8,11-30,32-33H2,(H,47,55)(H,48,56)(H,49,57)(H,64,65)(H,66,67)(H2,50,51,59)(H,52,58,60)(H2,61,62,63)
InChIKey XCTWELOHSVXDPX-UHFFFAOYSA-N
Market Analysis Reports
List of Reports Available for Biotin-36-dutp
Related Products
Biotin-36-dctp  4-Amino-5-Fluoro-1-[(2S,4S)-2-(Hydroxyme...  (3R,6R)-3-Hydroxy-6-Methylamino-6-(2-Met...  2-Hydroxy-5-Methoxy-3-[(E)-3-Methyl-5-(2...  (E)-2-Amino-3,4,5-Trihydroxy-2-(Hydroxym...  (E)-2-Amino-3,4,5-Trihydroxy-2-Methyl-14...  5-Acetamido-2-[[10,13-Dimethyl-17-(6-Met...  3-[2-Hydroxy-7-[5-[(E)-1,4,5-Trihydroxyh...  Tri-Neo-Pentylphosphite  3-[2,6-Di(Propan-2-Yl)Phenyl]-1-(4-Pheny...  1-(Cyclohexylmethyl)-3-(2,6-Diethylpheny...  2-(beta,beta-Diethoxycarbonylphenethyl)P...  Sodium 1-amino-4-[(2-ethenylsulfonylphen...  Sodium 3-[[3-[4-(Hexadecyloxy)Phenyl]-1,...  1-(1-Hydroxy-5,6-Dihydro-2H-Pyridin-3-Yl...