Online Database of Chemicals from Around the World

4-[(6-氨基-4-羟基-2-氧代氮杂环庚-3-基)氨基]-3-[[2-氯-2-(1-氯-3-羟基丁基)-3-(1-氯-2-羟基-2-氧代乙基)环丙烷羰基]氨基]-4-氧代丁酸
[CAS# 145585-98-4]

供应商
CAS#: 145585-98-4
产品: 4-[(6-氨基-4-羟基-2-氧代氮杂环庚-3-基)氨基]-3-[[2-氯-2-(1-氯-3-羟基丁基)-3-(1-氯-2-羟基-2-氧代乙基)环丙烷羰基]氨基]-4-氧代丁酸
暂时没有厂家供应该产品。
基本信息
产品名称 4-[(6-氨基-4-羟基-2-氧代氮杂环庚-3-基)氨基]-3-[[2-氯-2-(1-氯-3-羟基丁基)-3-(1-氯-2-羟基-2-氧代乙基)环丙烷羰基]氨基]-4-氧代丁酸
英文名 4-[(6-Amino-4-Hydroxy-2-Oxoazepan-3-Yl)Amino]-3-[[2-Chloro-2-(1-Chloro-3-Hydroxybutyl)-3-(1-Chloro-2-Hydroxy-2-Oxoethyl)Cyclopropanecarbonyl]Amino]-4-Oxobutanoic Acid
别名 4-[(6-Amino-4-Hydroxy-2-Oxo-Azepan-3-Yl)Amino]-3-[[2-Chloro-2-(1-Chloro-3-Hydroxy-Butyl)-3-(1-Chloro-2-Hydroxy-2-Oxo-Ethyl)Cyclopropanecarbonyl]Amino]-4-Oxo-Butanoic Acid; 4-[(6-Amino-4-Hydroxy-2-Oxo-3-Azepanyl)Amino]-3-[[[2-Chloro-2-(1-Chloro-3-Hydroxybutyl)-3-(1-Chloro-2-Hydroxy-2-Oxoethyl)Cyclopropyl]-Oxomethyl]Amino]-4-Oxobutanoic Acid; 4-[(6-Amino-4-Hydroxy-2-Keto-Azepan-3-Yl)Amino]-3-[[2-Chloro-2-(1-Chloro-3-Hydroxy-Butyl)-3-(1-Chloro-2-Hydroxy-2-Keto-Ethyl)Cyclopropanecarbonyl]Amino]-4-Keto-Butyric Acid
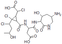
分子结构 CAS 登录号:145585-98-4, 4-[(6-氨基-4-羟基-2-氧代氮杂环庚-3-基)氨基]-3-[[2-氯-2-(1-氯-3-羟基丁基)-3-(1-氯-2-羟基-2-氧代乙基)环丙烷羰基]氨基]-4-氧代丁酸
分子式 C20H29Cl3N4O9
分子量 575.83
CAS 登录号 145585-98-4
分子行输入简码 SMILES C(C(Cl)C1(Cl)C(C1C(=O)NC(C(=O)NC2C(O)CC(N)CNC2=O)CC(=O)O)C(Cl)C(=O)O)C(O)C
国际化学标识码 InChI 1S/C20H29Cl3N4O9/c1-6(28)2-10(21)20(23)12(14(22)19(35)36)13(20)17(33)26-8(4-11(30)31)16(32)27-15-9(29)3-7(24)5-25-18(15)34/h6-10,12-15,28-29H,2-5,24H2,1H3,(H,25,34)(H,26,33)(H,27,32)(H,30,31)(H,35,36)
国际化学标识检索码 InChIKey BCPPKCDYZCXCGK-UHFFFAOYSA-N
物理化学性质
密度 1.603g/cm3 (计算值)
沸点 1045.132°C at 760 mmHg (计算值)
闪点 585.875°C (计算值)
市场分析报告
请浏览4-[(6-氨基-4-羟基-2-氧代氮杂环庚-3-基)氨基]-3-[[2-氯-2-(1-氯-3-羟基丁基)-3-(1-氯-2-羟基-2-氧代乙基)环丙烷羰基]氨基]-4-氧代丁酸市场分析报告总目录
相关产品
4-[(6-氨基-4-羟基-2-氧代氮杂环庚-3-...  4-[(6-氨基-2-氧代氮杂环庚-3-基)氨基]...  N,N-二甲基-7-硝基苯并呋咱-4-胺  (2S)-N-[(2S)-2-[[2-[[(2R)...  3-氨基-2-吡嗪甲酰基胍  6-(2-二甲基氨基丙基)-6,11-二氢-5H-...  (5aR,9R,9aS,9bR)-9-羟基-3-(...  (4beta,5alpha,12beta,16al...  (E)-6-(6-O-(3-(4-羟基苯基)-1-...  美诺克酮  4-甲基谷氨酸  2-氨基-3-氯丁酸  (4-硝基苯基亚氨基)三苯基膦烷  (2R,3R,4S,5R,6S)-5-[(2S,3...  2-氨基-9-(1,3-二羟基丙氧基)-8-甲基-...