Online Database of Chemicals from Around the World

9-[3-(二氨基亚甲基氨基)丙基]-2-乙基-12-[(1E,3E)-6-甲氧基-3,5-二甲基-7-苯基庚-1,3-二烯基]-1,6,13-三甲基-3,7,10,14,19-五氧代-1,4,8,11,15-五氮杂环十九烷-5,16-二甲酸
[CAS# 146109-35-5]

供应商
CAS#: 146109-35-5
产品: 9-[3-(二氨基亚甲基氨基)丙基]-2-乙基-12-[(1E,3E)-6-甲氧基-3,5-二甲基-7-苯基庚-1,3-二烯基]-1,6,13-三甲基-3,7,10,14,19-五氧代-1,4,8,11,15-五氮杂环十九烷-5,16-二甲酸
暂时没有厂家供应该产品。
基本信息
产品名称 9-[3-(二氨基亚甲基氨基)丙基]-2-乙基-12-[(1E,3E)-6-甲氧基-3,5-二甲基-7-苯基庚-1,3-二烯基]-1,6,13-三甲基-3,7,10,14,19-五氧代-1,4,8,11,15-五氮杂环十九烷-5,16-二甲酸
英文名 9-[3-(Diaminomethylideneamino)Propyl]-2-Ethyl-12-[(1E,3E)-6-Methoxy-3,5-Dimethyl-7-Phenylhepta-1,3-Dienyl]-1,6,13-Trimethyl-3,7,10,14,19-Pentaoxo-1,4,8,11,15-Pentazacyclononadecane-5,16-Dicarboxylic Acid
别名 2-Ethyl-9-(3-Guanidinopropyl)-12-[(1E,3E)-6-Methoxy-3,5-Dimethyl-7-Phenyl-Hepta-1,3-Dienyl]-1,6,13-Trimethyl-3,7,10,14,19-Pentaoxo-1,4,8,11,15-Pentazacyclononadecane-5,16-Dicarboxylic Acid; 2-Ethyl-9-(3-Guanidinopropyl)-12-[(1E,3E)-6-Methoxy-3,5-Dimethyl-7-Phenylhepta-1,3-Dienyl]-1,6,13-Trimethyl-3,7,10,14,19-Pentaoxo-1,4,8,11,15-Pentazacyclononadecane-5,16-Dicarboxylic Acid; 2-Ethyl-9-(3-Guanidinopropyl)-3,7,10,14,19-Pentaketo-12-[(1E,3E)-6-Methoxy-3,5-Dimethyl-7-Phenyl-Hepta-1,3-Dienyl]-1,6,13-Trimethyl-1,4,8,11,15-Pentazacyclononadecane-5,16-Dicarboxylic Acid
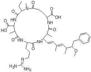
分子结构 CAS 登录号:146109-35-5, 9-[3-(二氨基亚甲基氨基)丙基]-2-乙基-12-[(1E,3E)-6-甲氧基-3,5-二甲基-7-苯基庚-1,3-二烯基]-1,6,13-三甲基-3,7,10,14,19-五氧代-1,4,8,11,15-五氮杂环十九烷-5,16-二甲酸
分子式 C41H62N8O10
分子量 826.99
CAS 登录号 146109-35-5
分子行输入简码 SMILES C2=C(CC(OC)C(/C=C(/C=C/C1NC(=O)C(NC(=O)C(C(NC(=O)C(N(C(=O)CCC(NC(=O)C1C)C(O)=O)C)CC)C(O)=O)C)CCCN=C(N)N)C)C)C=CC=C2
国际化学标识码 InChI 1S/C41H62N8O10/c1-8-31-38(54)48-34(40(57)58)26(5)36(52)46-29(15-12-20-44-41(42)43)37(53)45-28(25(4)35(51)47-30(39(55)56)18-19-33(50)49(31)6)17-16-23(2)21-24(3)32(59-7)22-27-13-10-9-11-14-27/h9-11,13-14,16-17,21,24-26,28-32,34H,8,12,15,18-20,22H2,1-7H3,(H,45,53)(H,46,52)(H,47,51)(H,48,54)(H,55,56)(H,57,58)(H4,42,43,44)/b17-16+,23-21+
国际化学标识检索码 InChIKey RLFXWEJNSCUBRW-ASMFZGAFSA-N
物理化学性质
密度 1.298g/cm3 (计算值)
市场分析报告
请浏览9-[3-(二氨基亚甲基氨基)丙基]-2-乙基-12-[(1E,3E)-6-甲氧基-3,5-二甲基-7-苯基庚-1,3-二烯基]-1,6,13-三甲基-3,7,10,14,19-五氧代-1,4,8,11,15-五氮杂环十九烷-5,16-二甲酸市场分析报告总目录
相关产品
3,5-二氯-4-羟基苯基硫氰酸酯  (2S,4S,5R,6R)-5-乙酰氨基-6-[(...  N,N,N-三甲基-1H-嘌呤-6-铵氢氧化物内盐  (R)-1-甲基-5-(1-甲基乙烯基)环己烯  1,4-二[2-(4-吡啶基)乙基]哌嗪  氯贝酸镁  叔丁基8-氯-5-甲基-6-氧代-4H-咪唑并[1...  4-甲氧基-1-苯并噻吩-2-羧酸甲酯  (3beta)-14-羟基-19-氧代-3-(be...  (3R)-3-[[2-[(3R)-2-氧代-3-(...  [5-(6-氨基嘌呤-9-基)-3,4-二羟基四氢...  (1R,2S,3S)-3-(4-碘苯基)-8-甲基...  苯基(1R)-3-(4-碘苯基)-8-甲基-8-氮...  (2S)-6-氨基-2-[[(2S,3S)-2-[...  4-(2,4-二甲氧基苯基)-4-氧代-丁酸