Online Database of Chemicals from Around the World

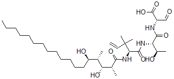
(2S)-2-[[(2S,3R)-2-[[(2S)-2-[[(2R,3R,4S,5R)-3,5-二羟基-2,4-二甲基十八烷酰基]氨基]-3,3-二甲基戊-4-烯酰基]氨基]-3-羟基丁酰基]氨基]-3-氧代丙酸
[CAS# 147334-90-5]

供应商
CAS#: 147334-90-5
产品: (2S)-2-[[(2S,3R)-2-[[(2S)-2-[[(2R,3R,4S,5R)-3,5-二羟基-2,4-二甲基十八烷酰基]氨基]-3,3-二甲基戊-4-烯酰基]氨基]-3-羟基丁酰基]氨基]-3-氧代丙酸
暂时没有厂家供应该产品。
基本信息
产品名称 (2S)-2-[[(2S,3R)-2-[[(2S)-2-[[(2R,3R,4S,5R)-3,5-二羟基-2,4-二甲基十八烷酰基]氨基]-3,3-二甲基戊-4-烯酰基]氨基]-3-羟基丁酰基]氨基]-3-氧代丙酸
英文名 (2S)-2-[[(2S,3R)-2-[[(2S)-2-[[(2R,3R,4S,5R)-3,5-Dihydroxy-2,4-Dimethyloctadecanoyl]Amino]-3,3-Dimethylpent-4-Enoyl]Amino]-3-Hydroxybutanoyl]Amino]-3-Oxopropanoic Acid
别名 (2S)-2-[[(2S,3R)-2-[[(2S)-2-[[(2R,3R,4S,5R)-3,5-Dihydroxy-2,4-Dimethyl-Octadecanoyl]Amino]-3,3-Dimethyl-Pent-4-Enoyl]Amino]-3-Hydroxy-Butanoyl]Amino]-3-Oxo-Propanoic Acid; (2S)-2-[[(2S,3R)-2-[[(2S)-2-[[(2R,3R,4S,5R)-3,5-Dihydroxy-2,4-Dimethyl-1-Oxooctadecyl]Amino]-3,3-Dimethyl-1-Oxopent-4-Enyl]Amino]-3-Hydroxy-1-Oxobutyl]Amino]-3-Oxopropanoic Acid; (2S)-2-[[(2S,3R)-2-[[(2S)-2-[[(2R,3R,4S,5R)-3,5-Dihydroxy-2,4-Dimethyl-Octadecanoyl]Amino]-3,3-Dimethyl-Pent-4-Enoyl]Amino]-3-Hydroxy-Butanoyl]Amino]-3-Keto-Propionic Acid
分子结构 CAS 登录号:147334-90-5, (2S)-2-[[(2S,3R)-2-[[(2S)-2-[[(2R,3R,4S,5R)-3,5-二羟基-2,4-二甲基十八烷酰基]氨基]-3,3-二甲基戊-4-烯酰基]氨基]-3-羟基丁酰基]氨基]-3-氧代丙酸
分子式 C34H61N3O9
分子量 655.87
CAS 登录号 147334-90-5
分子行输入简码 SMILES [C@H](C(=O)O)(NC([C@@H](NC([C@@H](NC([C@@H]([C@@H]([C@H]([C@@H](CCCCCCCCCCCCC)O)C)O)C)=O)C(C)(C)C=C)=O)[C@@H](C)O)=O)C=O
国际化学标识码 InChI 1S/C34H61N3O9/c1-8-10-11-12-13-14-15-16-17-18-19-20-26(40)22(3)28(41)23(4)30(42)37-29(34(6,7)9-2)32(44)36-27(24(5)39)31(43)35-25(21-38)33(45)46/h9,21-29,39-41H,2,8,10-20H2,1,3-7H3,(H,35,43)(H,36,44)(H,37,42)(H,45,46)/t22-,23+,24+,25-,26+,27-,28+,29+/m0/s1
国际化学标识检索码 InChIKey HIRFPWCSYAMYPE-RYUAEMIRSA-N
物理化学性质
密度 1.111g/cm3 (计算值)
沸点 895.37°C at 760 mmHg (计算值)
闪点 495.302°C (计算值)
市场分析报告
请浏览(2S)-2-[[(2S,3R)-2-[[(2S)-2-[[(2R,3R,4S,5R)-3,5-二羟基-2,4-二甲基十八烷酰基]氨基]-3,3-二甲基戊-4-烯酰基]氨基]-3-羟基丁酰基]氨基]-3-氧代丙酸市场分析报告总目录
相关产品
[(2R,3S)-3-氨基-4-[[(2S)-2-...  5-(三氟甲基)苯并恶唑-2(3H)-酮  5-氯-3-[3-[4-(2-羟基乙基)哌嗪-1-...  3-[3-[4-(2-羟基乙基)哌嗪-1-基]丙基...  3-(异硫氰酸基甲基)吡啶氢溴酸盐  叔-丁基甲基琥珀酸酯  1-苯基-2-(2,3,3-三甲基-1-环戊烯基)...  10,11-二羟基-N-(11C)甲基去甲阿朴吗啡  [3-[(4-碘苯基)磺酰基氨基]苯基]硼酸  [3-[(5-二甲基氨基-6-碘萘-1-基)磺酰基...  4-氯-6-甲氧基-1-亚硝基吲哚  N-亚水杨基-3-氨基香豆素  8-甲氧基-1,4a-二甲基-7-丙-2-基-4,...  2-乙基色原酮  (5S,10Z)-5-丙基-1-氧杂-4-氮杂环十...