Online Database of Chemicals from Around the World

Jaspisamide B
[CAS# 149420-77-9]

供应商
CAS#: 149420-77-9
产品: Jaspisamide B
暂时没有厂家供应该产品。
基本信息
产品名称 Jaspisamide B
英文名 Jaspisamide B
别名 Kabiramide C, 21-O-De(Aminocarbonyl)-23,24-Didehydro-3,23-Demethyl-25-Deoxy-25-Oxo-
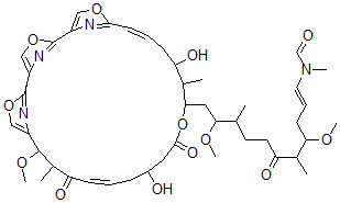
分子结构 CAS 登录号:149420-77-9, Jaspisamide B
分子式 C44H60N4O13
分子量 852.98
CAS 登录号 149420-77-9
分子行输入简码 SMILES C(C4OC(=O)CC(O)C/C=C/C(=O)C(C(OC)C1=COC(=N1)C2=COC(=N2)C3=COC(=N3)\C=C/CC(O)C4C)C)C(OC)C(CCC(=O)C(C(OC)C\C=C\N(C=O)C)C)C
国际化学标识码 InChI 1S/C44H60N4O13/c1-26(17-18-36(53)27(2)37(55-6)15-11-19-48(5)25-49)38(56-7)21-39-28(3)34(51)14-10-16-40-45-32(23-58-40)43-47-33(24-60-43)44-46-31(22-59-44)42(57-8)29(4)35(52)13-9-12-30(50)20-41(54)61-39/h9-11,13,16,19,22-30,34,37-39,42,50-51H,12,14-15,17-18,20-21H2,1-8H3/b13-9+,16-10-,19-11+
国际化学标识检索码 InChIKey RFDARNYKMNISNP-FGJKLWHMSA-N
市场分析报告
请浏览Jaspisamide B市场分析报告总目录
相关产品
Jaspisamide C  3-(9,10-二氢-4H-苯并[4,5]环庚并[...  N-(N-甘氨酰-甘氨酰)-8-赖氨酰-加压素  N-(2,5-二氨基-6-氧代-3H-嘧啶-4-基...  [(1R,5S,6R,7R,8S)-6-(3,4-...  (5-氟-2,4-二氧代嘧啶-1-基)甲基2-[(...  3-甲基-1,2,3,4-四氢萘-1-酮  9-丙氨酰胺-赖氨酰-加压素  (3R,4S,5R)-5-(羧甲基-(膦酰甲基)氨...  4,5-二羟基苯-1,3-二磺酸  (1S-(1alpha,3abeta,4aalph...  8,10a-二羟基-3,11-二甲基-1,2-二氢...  天冬氨酰-精氨酰-天冬氨酰胺酰-苯丙氨酰-亮氨酰-...  原卟啉镁  二(1,3-二噻烷-2-基)甲烷