Online Database of Chemicals from Around the World

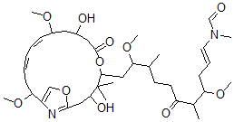
N-[(E)-11-[(12Z,14Z)-3,9-二羟基-11,17-二甲氧基-4,4-二甲基-7-氧代-6,20-二氧杂-21-氮杂双环[16.2.1]二十一碳-1(21),12,14,18-四烯-5-基]-4,10-二甲氧基-5,9-二甲基-6-氧代十一碳-1-烯基]-N-甲基甲酰胺
[CAS# 150346-23-9]

供应商
CAS#: 150346-23-9
产品: N-[(E)-11-[(12Z,14Z)-3,9-二羟基-11,17-二甲氧基-4,4-二甲基-7-氧代-6,20-二氧杂-21-氮杂双环[16.2.1]二十一碳-1(21),12,14,18-四烯-5-基]-4,10-二甲氧基-5,9-二甲基-6-氧代十一碳-1-烯基]-N-甲基甲酰胺
暂时没有厂家供应该产品。
基本信息
产品名称 N-[(E)-11-[(12Z,14Z)-3,9-二羟基-11,17-二甲氧基-4,4-二甲基-7-氧代-6,20-二氧杂-21-氮杂双环[16.2.1]二十一碳-1(21),12,14,18-四烯-5-基]-4,10-二甲氧基-5,9-二甲基-6-氧代十一碳-1-烯基]-N-甲基甲酰胺
英文名 N-[(E)-11-[(12Z,14Z)-3,9-Dihydroxy-11,17-Dimethoxy-4,4-Dimethyl-7-Oxo-6,20-Dioxa-21-Azabicyclo[16.2.1]Henicosa-1(21),12,14,18-Tetraen-5-Yl]-4,10-Dimethoxy-5,9-Dimethyl-6-Oxoundec-1-Enyl]-N-Methylformamide
别名 N-[(E)-11-[(12Z,14Z)-3,9-Dihydroxy-11,17-Dimethoxy-4,4-Dimethyl-7-Oxo-6,20-Dioxa-21-Azabicyclo[16.2.1]Henicosa-1(21),12,14,18-Tetraen-5-Yl]-4,10-Dimethoxy-5,9-Dimethyl-6-Oxo-Undec-1-Enyl]-N-Methyl-Formamide; N-[(E)-11-[(12Z,14Z)-3,9-Dihydroxy-7-Keto-11,17-Dimethoxy-4,4-Dimethyl-6,20-Dioxa-21-Azabicyclo[16.2.1]Henicosa-1(21),12,14,18-Tetraen-5-Yl]-6-Keto-4,10-Dimethoxy-5,9-Dimethyl-Undec-1-Enyl]-N-Methyl-Formamide; N-[(E)-11-[(12Z,14Z)-3,9-Dihydroxy-11,17-Dimethoxy-4,4-Dimethyl-7-Oxo-6,20-Dioxa-21-Azabicyclo[16.2.1]Henicosa-1(21),12,14,18-Tetraen-5-Yl]-4,10-Dimethoxy-5,9-Dimethyl-6-Oxo-Undec-1-Enyl]-N-Methyl-Methanamide
分子结构 CAS 登录号:150346-23-9, N-[(E)-11-[(12Z,14Z)-3,9-二羟基-11,17-二甲氧基-4,4-二甲基-7-氧代-6,20-二氧杂-21-氮杂双环[16.2.1]二十一碳-1(21),12,14,18-四烯-5-基]-4,10-二甲氧基-5,9-二甲基-6-氧代十一碳-1-烯基]-N-甲基甲酰胺
分子式 C39H62N2O11
分子量 734.93
CAS 登录号 150346-23-9
分子行输入简码 SMILES C(C2OC(=O)CC(O)CC(OC)/C=C\C=C/CC(OC)C1=COC(=N1)CC(O)C2(C)C)C(OC)C(CCC(=O)C(C(OC)C\C=C\N(C=O)C)C)C
国际化学标识码 InChI 1S/C39H62N2O11/c1-26(17-18-31(44)27(2)32(48-7)16-13-19-41(5)25-42)34(50-9)22-36-39(3,4)35(45)23-37-40-30(24-51-37)33(49-8)15-12-10-11-14-29(47-6)20-28(43)21-38(46)52-36/h10-14,19,24-29,32-36,43,45H,15-18,20-23H2,1-9H3/b12-10-,14-11-,19-13+
国际化学标识检索码 InChIKey RAJHHZKPZIVDFF-OKKIHLRPSA-N
物理化学性质
密度 1.154g/cm3 (计算值)
沸点 852.824°C at 760 mmHg (计算值)
闪点 469.571°C (计算值)
市场分析报告
请浏览N-[(E)-11-[(12Z,14Z)-3,9-二羟基-11,17-二甲氧基-4,4-二甲基-7-氧代-6,20-二氧杂-21-氮杂双环[16.2.1]二十一碳-1(21),12,14,18-四烯-5-基]-4,10-二甲氧基-5,9-二甲基-6-氧代十一碳-1-烯基]-N-甲基甲酰胺市场分析报告总目录
相关产品
喹吖啶酮醌  O-乙酰基-5-碘水杨酸  5-溴-2-[(4-氯苯基)磺酰基氨基]-N-(4...  硫化氢  1-[(4-苯基-1H-吡咯-3-基)-噻吩-2-...  1-[萘-2-基-(4-苯基-1H-吡咯-3-基)...  6-(4-二甲基氨基-3-羟基-6-甲基四氢吡喃-...  (1E)-1-[氨基-[3-(2,4,5-三氯苯氧...  依托南硝酸盐  alpha-(1-金刚烷基)-4-吗啉-1-丙醇  琥珀酸氢1-[1-(1-金刚烷基)丙基]酯  gamma-氧代-1-金刚烷丁酸  (4aR-(4aalpha,7aalpha,8al...  3-[2-[二(2-氯乙基)氨基]乙基]-1,3-...  O,O'-磺酰基二苯酚