Online Database of Chemicals from Around the World

齐考诺肽
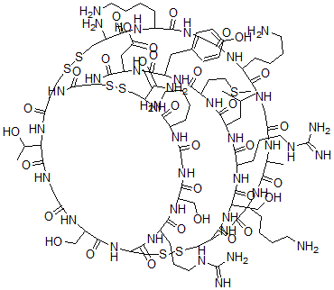
[CAS# 150770-63-1]

供应商
CAS#: 150770-63-1
产品: 齐考诺肽
暂时没有厂家供应该产品。
基本信息
产品名称 齐考诺肽
英文名 Ziconotide
别名 Prialt; Snx 111; Snx-111
分子结构 CAS 登录号:150770-63-1, 齐考诺肽
分子式 C102H172N36O32S7
分子量 2639.12
CAS 登录号 150770-63-1
分子行输入简码 SMILES S2CC4C(NC(C(NC(C(NC(C(NC(C(NC(CC1=CC=C(O)C=C1)C(NC(C(NC3C(NC(C(NC(C(NCC(NC(C(NC(CS2)C(NC(C(NC(C(NCC(NC(C(NC(CSSC3)C(N)=O)=O)CCCCN)=O)=O)CO)=O)CCCNC(N)=N)=O)=O)CO)=O)=O)C(C)O)=O)CSSCC(C(NC(C(NCC(NC(C(NCC(NC(C(NC(C(N4)=O)CCCCN)=O)C)=O)=O)CCCCN)=O)=O)CCCCN)=O)N)=O)=O)CC(O)=O)=O)=O)CCSC)=O)CC(C)C)=O)CCCNC(N)=N)=O)CO)=O
国际化学标识码 InChI 1S/C102H172N36O32S7/c1-50(2)34-63-91(161)127-62(26-33-171-5)90(160)129-64(35-53-22-24-54(143)25-23-53)92(162)130-65(36-78(148)149)93(163)135-72-48-175-173-45-69(80(108)150)133-86(156)58(18-8-12-29-105)121-76(146)39-117-85(155)66(41-139)131-88(158)61(21-15-32-114-102(111)112)126-96(166)70-46-176-177-47-71(97(167)132-68(43-141)95(165)125-60(87(157)128-63)20-14-31-113-101(109)110)134-89(159)59(19-9-13-30-106)123-81(151)51(3)119-74(144)37-115-83(153)56(16-6-10-27-103)120-75(145)38-116-84(154)57(17-7-11-28-104)124-82(152)55(107)44-172-174-49-73(137-98(72)168)99(169)138-79(52(4)142)100(170)118-40-77(147)122-67(42-140)94(164)136-70/h22-25,50-52,55-73,79,139-143H,6-21,26-49,103-107H2,1-5H3,(H2,108,150)(H,115,153)(H,116,154)(H,117,155)(H,118,170)(H,119,144)(H,120,145)(H,121,146)(H,122,147)(H,123,151)(H,124,152)(H,125,165)(H,126,166)(H,127,161)(H,128,157)(H,129,160)(H,130,162)(H,131,158)(H,132,167)(H,133,156)(H,134,159)(H,135,163)(H,136,164)(H,137,168)(H,138,169)(H,148,149)(H4,109,110,113)(H4,111,112,114)
国际化学标识检索码 InChIKey BPKIMPVREBSLAJ-UHFFFAOYSA-N
市场分析报告
请浏览齐考诺肽市场分析报告总目录
相关产品
硝普铁  3-(3-苯基丙烯酰)-8-丙酰基-3,8-二氮杂...  3-(3-溴-3-苯基烯丙基)-8-丙酰基-3,8...  己二酸二[2,2-二(羟基甲基)丙基]酯  四氢呋喃-3-基甲基(E)-十八碳-9-烯酸酯  三苄基羟基锡烷  (2E,4E,6E)-7-[(1S,2R,6R)-...  1,3,8,11-四羟基-10-(4-羟基-2-氧...  3-[(3-甲基-1-苯基-1H-吡唑-5-基)氧...  3-[(1-苄基-3-甲基-1H-吡唑-5-基)氧...  5-(3-氯丙氧基)-3-甲基-1-苯基-1H-吡...  1-苄基-5-(3-氯丙氧基)-3-甲基-1H-吡...  3-甲基-5-(环氧乙烷基甲氧基)-1-苯基-1H...  N,N-二乙基-N'-[2-(3-甲基-1-苯基-...  3-甲基-5-[2-(甲基氨基)乙氧基]-1-苯基...