Online Database of Chemicals from Around the World

(7R,11R,15R,23R,27R)-7,8,11,12,15,16,23,24,27,28-十氢-2,4,18,20-四羟基-7,11,15,23,27-五甲基-5H,9H,13H,21H,25H-二苯并[k,u][1,5,9,15,19]五氧杂二十四环-5,9,13,21,25-五酮
[CAS# 151379-39-4]

供应商
CAS#: 151379-39-4
产品: (7R,11R,15R,23R,27R)-7,8,11,12,15,16,23,24,27,28-十氢-2,4,18,20-四羟基-7,11,15,23,27-五甲基-5H,9H,13H,21H,25H-二苯并[k,u][1,5,9,15,19]五氧杂二十四环-5,9,13,21,25-五酮
暂时没有厂家供应该产品。
基本信息
产品名称 (7R,11R,15R,23R,27R)-7,8,11,12,15,16,23,24,27,28-十氢-2,4,18,20-四羟基-7,11,15,23,27-五甲基-5H,9H,13H,21H,25H-二苯并[k,u][1,5,9,15,19]五氧杂二十四环-5,9,13,21,25-五酮
英文名 (7R,11R,15R,23R,27R)-7,8,11,12,15,16,23,24,27,28-Decahydro-2,4,18,20-tetrahydroxy-7,11,15,23,27-pentamethyl-5H,9H,13H,21H,25H-Dibenzo[k,u][1,5,9,15,19]pentaoxacyclotetracosin-5,9,13,21,25-pentone
别名 Bk223-C
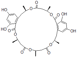
分子结构 CAS 登录号:151379-39-4, (7R,11R,15R,23R,27R)-7,8,11,12,15,16,23,24,27,28-十氢-2,4,18,20-四羟基-7,11,15,23,27-五甲基-5H,9H,13H,21H,25H-二苯并[k,u][1,5,9,15,19]五氧杂二十四环-5,9,13,21,25-五酮
分子式 C32H38O14
分子量 646.64
CAS 登录号 151379-39-4
分子行输入简码 SMILES [C@H]1(CC(O[C@@H](CC(O[C@@H](CC3=C(C(O[C@@H](CC(O[C@@H](CC2=C(C(O1)=O)C(=CC(=C2)O)O)C)=O)C)=O)C(=CC(=C3)O)O)C)=O)C)=O)C
国际化学标识码 InChI 1S/C32H38O14/c1-15-6-20-11-22(33)13-24(35)29(20)31(40)45-18(4)9-27(38)43-16(2)7-21-12-23(34)14-25(36)30(21)32(41)46-19(5)10-28(39)44-17(3)8-26(37)42-15/h11-19,33-36H,6-10H2,1-5H3/t15-,16-,17-,18-,19-/m1/s1
国际化学标识检索码 InChIKey ZIOHDYUFQITWAX-FVVUREQNSA-N
物理化学性质
密度 1.251g/cm3 (计算值)
沸点 1032.216°C at 760 mmHg (计算值)
闪点 329.406°C (计算值)
市场分析报告
请浏览(7R,11R,15R,23R,27R)-7,8,11,12,15,16,23,24,27,28-十氢-2,4,18,20-四羟基-7,11,15,23,27-五甲基-5H,9H,13H,21H,25H-二苯并[k,u][1,5,9,15,19]五氧杂二十四环-5,9,13,21,25-五酮市场分析报告总目录
相关产品
2,4,6-三甲基-1,3-苯二甲腈氧化物  4-[4-[3-(三氟甲基)苯基]-1-哌嗪基]-...  N-[10-(3-吗啉-4-基丙酰)-5,5-二氧...  硫代硝基苯甲酸  (7E,9E,11Z,14Z)-5-氧代二十-7,...  5,5'-二苯基-3,3'-二异噻唑二硫醚  6-(溴甲基)-2-氧代-4-噻吩-2-基-1,2...  3-氟芴-9-酮  锌十二烷基氢二硫酸酯盐  4-氟-9H-芴-9-酮  六钠二氢[乙烷-1,2-二基二[次氮基二(亚甲基)...  2-氨基-3-(2-氧代-1,3-二氢咪唑-4-基...  二氯-(S,S)-(N,N'-二乙基-2,4-戊烷...  氟乙酰氟  6-(2-氨基乙基)-3-联苯醇盐酸盐