Online Database of Chemicals from Around the World

仙客来皂甙元A3-O-吡喃鼠李糖基-1-4-吡喃葡萄糖基-1-2-(吡喃葡萄糖基-1-4)-阿拉伯糖吡喃糖苷
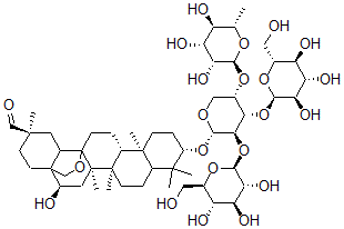
[CAS# 151625-81-9]

供应商
CAS#: 151625-81-9
产品: 仙客来皂甙元A3-O-吡喃鼠李糖基-1-4-吡喃葡萄糖基-1-2-(吡喃葡萄糖基-1-4)-阿拉伯糖吡喃糖苷
暂时没有厂家供应该产品。
基本信息
产品名称 仙客来皂甙元A3-O-吡喃鼠李糖基-1-4-吡喃葡萄糖基-1-2-(吡喃葡萄糖基-1-4)-阿拉伯糖吡喃糖苷
英文名 Cyclamiretin A 3-O-Rhamnopyranosyl-1-4-Glucopyranosyl-1-2-(Glucopyranosyl-1-4)-Arabinopyranoside
别名 Cyclamiretin A Rgga; Oleanan-29-Al, 3-((O-6-Deoxy-Alpha-L-Mannopyranosyl-(1-4)-O-Beta-D-Glucopyranosyl-(1-2)-O-(Beta-D-Glucopyranosyl-(1-4))-Alpha-L-Arabinopyranosyl)Oxy)-13,28-Epoxy-16-Hydroxy-, (3Beta,16Alpha,20Beta)-; 3-((O-6-Deoxy-Alpha-L-Mannopyranosyl-(1-4)-O-Beta-D-Glucopyranosyl-(1-2)-O-(Beta-D-Glucopyranosyl-(1-4))-Alpha-L-Arabinopyranosyl)Oxy)-13,28-Epoxy-16-Hydroxyoleanan-29-Al (3Beta,16Alpha,20Beta)-
分子结构 CAS 登录号:151625-81-9, 仙客来皂甙元A3-O-吡喃鼠李糖基-1-4-吡喃葡萄糖基-1-2-(吡喃葡萄糖基-1-4)-阿拉伯糖吡喃糖苷
分子式 C53H86O22
分子量 1075.25
CAS 登录号 151625-81-9
分子行输入简码 SMILES [C@@]34(C1(OCC2(C1C[C@@](CC2)(C=O)C)[C@H](O)C3)CC[C@H]5[C@]4(CCC%10[C@@]5(CC[C@H](O[C@@H]8OC[C@H](O[C@@H]6O[C@H]([C@H](O)[C@@H](O)[C@H]6O)C)[C@H](O[C@H]7O[C@@H]([C@@H](O)[C@H](O)[C@H]7O)CO)[C@H]8O[C@@H]9O[C@@H]([C@@H](O)[C@H](O)[C@H]9O)CO)C%10(C)C)C)C)C
国际化学标识码 InChI 1S/C53H86O22/c1-23-32(58)35(61)38(64)43(69-23)72-26-20-67-46(42(75-45-40(66)37(63)34(60)25(19-55)71-45)41(26)74-44-39(65)36(62)33(59)24(18-54)70-44)73-31-10-11-49(5)27(47(31,2)3)8-12-50(6)28(49)9-13-53-29-16-48(4,21-56)14-15-52(29,22-68-53)30(57)17-51(50,53)7/h21,23-46,54-55,57-66H,8-20,22H2,1-7H3/t23-,24+,25+,26-,27?,28+,29?,30+,31-,32-,33+,34+,35+,36-,37-,38+,39+,40+,41-,42+,43-,44+,45-,46-,48+,49-,50+,51-,52?,53?/m0/s1
国际化学标识检索码 InChIKey BKDSZIZBAIJBKZ-LHQJIGRNSA-N
物理化学性质
密度 1.468g/cm3 (计算值)
市场分析报告
请浏览仙客来皂甙元A3-O-吡喃鼠李糖基-1-4-吡喃葡萄糖基-1-2-(吡喃葡萄糖基-1-4)-阿拉伯糖吡喃糖苷市场分析报告总目录
相关产品
二乙烯三胺五乙酸铁螯合物  烯丙基三甲基氯化铵  钕三溴酸盐  甲基(2S,3R)-3-羟基-2-[[(2R)-4...  镨三溴酸盐  钪三溴酸盐  钇三溴酸盐  异丁基硫脲  (2S,3S,4S,5R,6S)-6-[[(2R)...  (1S,3aR,6aR)-1-(4-羟基-3,5-...  (3R)-5-甲基-3,4-二氢-1H-异喹啉-2...  1-(2-乙氧基苯基)-2-硫脲  1-氮杂双环[2.2.2]辛烷-8-基N-(2-庚...  甲基2-[[(2S)-3-羟基-2-[(4-甲基苯...  4-(3-噻吩基)-alpha,alpha,1-三...