Online Database of Chemicals from Around the World

1-L-谷氨酰胺-2-L-谷氨酸-3-L-天冬氨酸-6-L-亮氨酸-8-L-异亮氨酸-9-L-天冬氨酰胺-10-L-缬氨酸-鸟苷蛋白(小鼠还原)
[CAS# 152175-68-3]

供应商
CAS#: 152175-68-3
产品: 1-L-谷氨酰胺-2-L-谷氨酸-3-L-天冬氨酸-6-L-亮氨酸-8-L-异亮氨酸-9-L-天冬氨酰胺-10-L-缬氨酸-鸟苷蛋白(小鼠还原)
暂时没有厂家供应该产品。
基本信息
产品名称 1-L-谷氨酰胺-2-L-谷氨酸-3-L-天冬氨酸-6-L-亮氨酸-8-L-异亮氨酸-9-L-天冬氨酰胺-10-L-缬氨酸-鸟苷蛋白(小鼠还原)
英文名 1-L-Glutamine-2-L-Glutamic Acid-3-L-Aspartic Acid-6-L-Leucine-8-L-Isoleucine-9-L-Asparagine-10-L-Valine-Guanylin (Rat Reduced)
别名 Uroguanylin
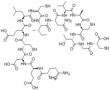
分子结构 CAS 登录号:152175-68-3, 1-L-谷氨酰胺-2-L-谷氨酸-3-L-天冬氨酸-6-L-亮氨酸-8-L-异亮氨酸-9-L-天冬氨酰胺-10-L-缬氨酸-鸟苷蛋白(小鼠还原)
分子式 C61H101N17O25S4
分子量 1600.81
CAS 登录号 152175-68-3
分子行输入简码 SMILES [C@@H](NC([C@@H](NC([C@@H](NC([C@@H](NC([C@@H](NC([C@@H](NC([C@@H](NC([C@@H](NC([C@H](CCC(N)=O)N)=O)CCC(O)=O)=O)CC(O)=O)=O)CS)=O)CCC(O)=O)=O)CC(C)C)=O)CS)=O)[C@H](CC)C)=O)(C(N[C@H](C(N[C@H](C(N[C@H](C(N[C@H](C(NCC(N[C@H](C(O)=O)CS)=O)=O)[C@@H](C)O)=O)CS)=O)C)=O)C(C)C)=O)CC(N)=O
国际化学标识码 InChI 1S/C61H101N17O25S4/c1-9-26(6)46(60(101)72-33(17-40(64)81)54(95)76-45(25(4)5)59(100)66-27(7)48(89)73-36(21-105)57(98)78-47(28(8)79)58(99)65-19-41(82)67-38(23-107)61(102)103)77-56(97)37(22-106)75-52(93)32(16-24(2)3)70-51(92)31(12-15-43(85)86)69-55(96)35(20-104)74-53(94)34(18-44(87)88)71-50(91)30(11-14-42(83)84)68-49(90)29(62)10-13-39(63)80/h24-38,45-47,79,104-107H,9-23,62H2,1-8H3,(H2,63,80)(H2,64,81)(H,65,99)(H,66,100)(H,67,82)(H,68,90)(H,69,96)(H,70,92)(H,71,91)(H,72,101)(H,73,89)(H,74,94)(H,75,93)(H,76,95)(H,77,97)(H,78,98)(H,83,84)(H,85,86)(H,87,88)(H,102,103)/t26-,27-,28+,29-,30-,31-,32-,33-,34-,35-,36-,37-,38-,45-,46-,47-/m0/s1
国际化学标识检索码 InChIKey SJMPVWVIVWEWJK-AXEIBBKLSA-N
物理化学性质
密度 1.377g/cm3 (计算值)
沸点 2000.752°C at 760 mmHg (计算值)
闪点 1163.813°C (计算值)
市场分析报告
请浏览1-L-谷氨酰胺-2-L-谷氨酸-3-L-天冬氨酸-6-L-亮氨酸-8-L-异亮氨酸-9-L-天冬氨酰胺-10-L-缬氨酸-鸟苷蛋白(小鼠还原)市场分析报告总目录
相关产品
8,13-二氢-1,7,9,11-四羟基-8,13...  1,7,9,11-四羟基-3-戊基-苯并(a)并四...  2,3,4,5-四氢-3-[(4-甲基苯基)磺酰基...  三甲氧基-巯基膦烷  野尻霉素  铷三氯铅酸盐  (3S,2R,4R)-4-羟基-2,3,10,10...  4-(4-甲基哌嗪-1-基)立方烷羧酸甲酯  4-(哌啶-1-羰基)-N-[3-[3-(哌啶-1...  N-(3'-(3'-哌啶甲基苯氧基)丙基)-1-溴...  3-(二乙基氨基甲酰)丙酸  10-甲氧基-7H-苯并咪唑并[2,1-a]苯并[...  6-O-(2-羟基丙基)-beta-环糊精  二(菲咯啉)(二吡啶并吩嗪)钌(II)  聚合物560