Online Database of Chemicals from Around the World

13,15-O-二去甲基长川霉素
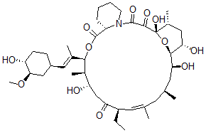
[CAS# 153781-49-8]

供应商
CAS#: 153781-49-8
产品: 13,15-O-二去甲基长川霉素
暂时没有厂家供应该产品。
基本信息
产品名称 13,15-O-二去甲基长川霉素
英文名 13,15-O-Bidesmethylimmunomycin
别名 15,19-Epoxy-3H-Pyrido(2,1-C)(1,4)Oxaazacyclotricosine-1,7,20,21(4H,23H)-Tetrone, 8-Ethyl-5,6,8,11,12,13,14,15,16,17,18,19,24,25,26,26A-Hexadecahydro-5,14,16,19-Tetrahydroxy-3-(2-(3-Hydroxy-4-Methoxycyclohexyl)-1-Methylethenyl)-4,10,12,18-Tetramethyl-, (3S-(3R*(E(1S*,3S*,4S*)),4S*,5R*,8S*,9E,12R*,14R*,15S*,16R*,18S*,19S*,26Ar*))-; 13,15-Ddma; 13,15-O-Bidesmethylascomycin
分子结构 CAS 登录号:153781-49-8, 13,15-O-二去甲基长川霉素
分子式 C41H65NO12
分子量 763.96
CAS 登录号 153781-49-8
分子行输入简码 SMILES [C@]12(O[C@@H]([C@@H](O)C[C@H]1C)[C@@H](O)C[C@H](CC(=C/[C@H](C(=O)C[C@H](O)[C@H]([C@H](OC(=O)[C@H]3N(C(=O)C2=O)CCCC3)\C(=C\[C@H]4C[C@@H](OC)[C@H](O)CC4)C)C)CC)/C)C)O
国际化学标识码 InChI 1S/C41H65NO12/c1-8-28-16-22(2)15-23(3)17-33(46)37-34(47)19-25(5)41(51,54-37)38(48)39(49)42-14-10-9-11-29(42)40(50)53-36(26(6)31(44)21-32(28)45)24(4)18-27-12-13-30(43)35(20-27)52-7/h16,18,23,25-31,33-37,43-44,46-47,51H,8-15,17,19-21H2,1-7H3/b22-16+,24-18+/t23-,25+,26+,27-,28+,29-,30+,31-,33-,34-,35+,36+,37+,41+/m0/s1
国际化学标识检索码 InChIKey GDYYPISRDVJPSV-CVJTUGKLSA-N
市场分析报告
请浏览13,15-O-二去甲基长川霉素市场分析报告总目录
相关产品
1-氨基-1-苯基壬烷-2-酮盐酸盐  2-氨基-1-苯基十一烷-3-酮盐酸盐  阿那佐辛  5-(1,1-二甲基乙基)-5-乙基巴比妥酸  7-羟基-10-氧代吩恶嗪-10-鎓-3-酮  2-丙基-1-[[4-[2-(2H-四唑-5-基)...  8-(4-硫代色满-8-基氧基丁基)-8-氮杂螺[...  1-(2-甲氧基苯基)-4-(2-硫代色满-8-基...  5-(硫代色满-8-基氧基甲基)-1,3-恶唑烷-...  2-(4-硫代色满-8-基氧基丁基)异吲哚-1,3...  2-(3-硫代色满-8-基氧基丙基)异吲哚-1,3...  2-(2-硫代色满-8-基氧乙基)异吲哚-1,3-...  1-苯基-4-(3-硫代色满-8-基氧基丙基)哌嗪  8-((2-甲氧基-3-(4-苯基哌啶-1-基)丙...  1-(3-苯基丙基氨基)-3-硫代色满-8-基氧基...