Online Database of Chemicals from Around the World

2-[[(E,1R,2S,3S)-3-乙酰氧基-1,2-二羟基-12-氧代十八碳-4-烯基]氨基]丙二酸
[CAS# 154032-80-1]

供应商
CAS#: 154032-80-1
产品: 2-[[(E,1R,2S,3S)-3-乙酰氧基-1,2-二羟基-12-氧代十八碳-4-烯基]氨基]丙二酸
暂时没有厂家供应该产品。
基本信息
产品名称 2-[[(E,1R,2S,3S)-3-乙酰氧基-1,2-二羟基-12-氧代十八碳-4-烯基]氨基]丙二酸
英文名 2-[[(E,1R,2S,3S)-3-Acetyloxy-1,2-Dihydroxy-12-Oxooctadec-4-Enyl]Amino]Propanedioic Acid
别名 2-[[(E,1R,2S,3S)-3-Acetoxy-1,2-Dihydroxy-12-Oxo-Octadec-4-Enyl]Amino]Propanedioic Acid; 2-[[(E,1R,2S,3S)-3-Acetoxy-1,2-Dihydroxy-12-Oxooctadec-4-Enyl]Amino]Propanedioic Acid; 2-[[(E,1R,2S,3S)-3-Acetoxy-1,2-Dihydroxy-12-Keto-Octadec-4-Enyl]Amino]Malonic Acid
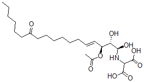
分子结构 CAS 登录号:154032-80-1, 2-[[(E,1R,2S,3S)-3-乙酰氧基-1,2-二羟基-12-氧代十八碳-4-烯基]氨基]丙二酸
分子式 C23H39NO9
分子量 473.56
CAS 登录号 154032-80-1
分子行输入简码 SMILES [C@H](NC(C(=O)O)C(=O)O)([C@H]([C@H](\C=C\CCCCCCC(CCCCCC)=O)OC(=O)C)O)O
国际化学标识码 InChI 1S/C23H39NO9/c1-3-4-5-10-13-17(26)14-11-8-6-7-9-12-15-18(33-16(2)25)20(27)21(28)24-19(22(29)30)23(31)32/h12,15,18-21,24,27-28H,3-11,13-14H2,1-2H3,(H,29,30)(H,31,32)/b15-12+/t18-,20-,21+/m0/s1
国际化学标识检索码 InChIKey RGSGTYGXVZDMSM-XJMLHANGSA-N
物理化学性质
密度 1.193g/cm3 (计算值)
沸点 703.945°C at 760 mmHg (计算值)
闪点 379.533°C (计算值)
市场分析报告
请浏览2-[[(E,1R,2S,3S)-3-乙酰氧基-1,2-二羟基-12-氧代十八碳-4-烯基]氨基]丙二酸市场分析报告总目录
相关产品
5,5'-亚甲基二邻氨基苯甲酸二乙酯  3,3-二甲氧羰基对二氨基联苯  2,5-二氨基对苯二甲酸二乙酯  溶剂蓝102  3-正丙基-2,4-戊烷二酮  3-正丁基-2,4-戊烷二酮  (6Z)-6-[4-(羟基甲基)-3H-1,3-噻...  (6aR,9R,9aR)-9-乙酰基-5-氯-3-...  2-乙酰基-3,5-二羟基环己-2-烯-1-酮  (8S,11R,12S,15S,18S,19S,2...  18-[(1E,3E)-6-甲氧基-3,5-二甲基...  3-(1-甲基乙基)戊烷-2,4-二酮  5-乙基双环(2.2.1)-2-庚烯  三乙基铵对甲苯磺酸盐  1,3,3,7-四甲基降冰片烷-2-酮