Online Database of Chemicals from Around the World

(8S,11R,12S,15S,18S,19S,22R)-18-[(1E,3E,5S,6S)-6-Methoxy-3,5-Dimethyl-7-Phenylhepta-1,3-Dienyl]-1,5,12,19-Tetramethyl-2-Methylidene-8,15-Bis(2-Methylpropyl)-3,6,9,13,16,20,25-Heptaoxo-1,4,7,10,14,17,21-Heptazacyclopentacosane-11,22-Dicarboxylic Acid
[CAS# 154037-67-9]

Suppliers
CAS#: 154037-67-9
Product: (8S,11R,12S,15S,18S,19S,22R)-18-[(1E,3E,5S,6S)-6-Methoxy-3,5-Dimethyl-7-Phenylhepta-1,3-Dienyl]-1,5,12,19-Tetramethyl-2-Methylidene-8,15-Bis(2-Methylpropyl)-3,6,9,13,16,20,25-Heptaoxo-1,4,7,10,14,17,21-Heptazacyclopentacosane-11,22-Dicarboxylic Acid
No suppilers available for the product.
Identification
Name (8S,11R,12S,15S,18S,19S,22R)-18-[(1E,3E,5S,6S)-6-Methoxy-3,5-Dimethyl-7-Phenylhepta-1,3-Dienyl]-1,5,12,19-Tetramethyl-2-Methylidene-8,15-Bis(2-Methylpropyl)-3,6,9,13,16,20,25-Heptaoxo-1,4,7,10,14,17,21-Heptazacyclopentacosane-11,22-Dicarboxylic Acid
Synonyms (8S,11R,12S,15S,18S,19S,22R)-8,15-Diisobutyl-18-[(1E,3E,5S,6S)-6-Methoxy-3,5-Dimethyl-7-Phenyl-Hepta-1,3-Dienyl]-1,5,12,19-Tetramethyl-2-Methylene-3,6,9,13,16,20,25-Heptaoxo-1,4,7,10,14,17,21-Heptazacyclopentacosane-11,22-Dicarboxylic Acid; (8S,11R,12S,15S,18S,19S,22R)-8,15-Diisobutyl-18-[(1E,3E,5S,6S)-6-Methoxy-3,5-Dimethyl-7-Phenylhepta-1,3-Dienyl]-1,5,12,19-Tetramethyl-2-Methylene-3,6,9,13,16,20,25-Heptaoxo-1,4,7,10,14,17,21-Heptazacyclopentacosane-11,22-Dicarboxylic Acid; (8S,11R,12S,15S,18S,19S,22R)-8,15-Diisobutyl-3,6,9,13,16,20,25-Heptaketo-18-[(1E,3E,5S,6S)-6-Methoxy-3,5-Dimethyl-7-Phenyl-Hepta-1,3-Dienyl]-1,5,12,19-Tetramethyl-2-Methylene-1,4,7,10,14,17,21-Heptazacyclopentacosane-11,22-Dicarboxylic Acid
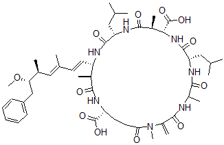
Molecular Structure CAS#: 154037-67-9, (8S,11R,12S,15S,18S,19S,22R)-18-[(1E,3E,5S,6S)-6-Methoxy-3,5-Dimethyl-7-Phenylhepta-1,3-Dienyl]-1,5,12,19-Tetramethyl-2-Methylidene-8,15-Bis(2-Methylpropyl)-3,6,9,13,16,20,25-Heptaoxo-1,4,7,10,14,17,21-Heptazacyclopentacosane-11,22-Dicarboxylic Acid
Molecular Formula C49H73N7O12
Molecular Weight 952.16
CAS Registry Number 154037-67-9
SMILES [C@H]1(NC(=O)C(NC(=O)C(N(C(=O)CC[C@@H](NC(=O)[C@H]([C@@H](NC(=O)[C@@H](NC(=O)[C@H]([C@@H](NC1=O)C(=O)O)C)CC(C)C)\C=C\C(=C\[C@@H]([C@@H](OC)CC2=CC=CC=C2)C)C)C)C(=O)O)C)=C)C)CC(C)C
InChI 1S/C49H73N7O12/c1-26(2)22-37-46(62)51-35(19-18-28(5)24-29(6)39(68-12)25-34-16-14-13-15-17-34)30(7)42(58)52-36(48(64)65)20-21-40(57)56(11)33(10)45(61)50-32(9)44(60)54-38(23-27(3)4)47(63)55-41(49(66)67)31(8)43(59)53-37/h13-19,24,26-27,29-32,35-39,41H,10,20-23,25H2,1-9,11-12H3,(H,50,61)(H,51,62)(H,52,58)(H,53,59)(H,54,60)(H,55,63)(H,64,65)(H,66,67)/b19-18+,28-24+/t29-,30-,31-,32?,35-,36+,37-,38-,39-,41+/m0/s1
InChIKey GLDUYXHQWLQPRR-IIERUUKBSA-N
Properties
Density 1.226g/cm3 (Cal.)
Boiling point 1238.291°C at 760 mmHg (Cal.)
Flash point 702.693°C (Cal.)
Market Analysis Reports
List of Reports Available for (8S,11R,12S,15S,18S,19S,22R)-18-[(1E,3E,5S,6S)-6-Methoxy-3,5-Dimethyl-7-Phenylhepta-1,3-Dienyl]-1,5,12,19-Tetramethyl-2-Methylidene-8,15-Bis(2-Methylpropyl)-3,6,9,13,16,20,25-Heptaoxo-1,4,7,10,14,17,21-Heptazacyclopentacosane-11,22-Dicarboxylic Acid
Related Products
18-[(1E,3E)-6-Methoxy-3,5-Dimethyl-7-Phe...  3-(1-Methylethyl)Pentane-2,4-Dione  5-Ethylbicyclo(2.2.1)-2-Heptene  Triethylammonium p-Toluenesulphonate  1,3,3,7-Tetramethylnorbornan-2-One  7-Isopropyl-1,8a-dimethyldecahydronaphth...  N'-Cyclohexylideneisonicotinic Hydrazide  N'-(1,3,3-Trimethylnorbornan-2-Ylidene)I...  N'-(4-Methylcyclohexyl)Isonicotinic Hydr...  1,8-Cyclotetradecadiyne  N,N-Dimethyl-1-Phenyl-1H-Pyrazol-4-Amine  N-Hydroxy-1-[3-[3-[2-(Hydroxy-Oxidoazani...  2-[3-[2-(2-Methyl-5-Nitroimidazol-1-Yl)E...  N-Acetyl-2-Methyl-1-Propaneamine  3-[2-(Hydroxy-Oxidoamino)Imidazol-1-Yl]-...