Online Database of Chemicals from Around the World

2-Leu-Deltorphin
[CAS# 154722-68-6]

Suppliers
CAS#: 154722-68-6
Product: 2-Leu-Deltorphin
No suppilers available for the product.
Identification
Name 2-Leu-Deltorphin
Synonyms Deltorphin, D-Leucyl(2)-; Deltorphin, Leu(2)-
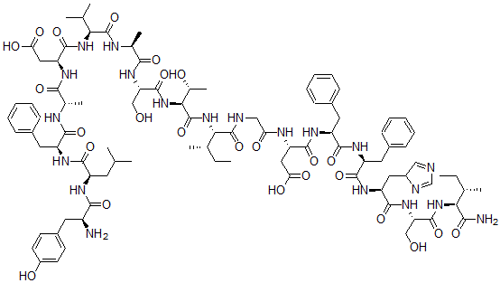
Molecular Structure CAS#: 154722-68-6, 2-Leu-Deltorphin
Molecular Formula C91H128N20O25
Molecular Weight 1902.13
CAS Registry Number 154722-68-6
SMILES [C@H](C(=O)N)(NC([C@@H](NC([C@@H](NC([C@@H](NC([C@@H](NC([C@@H](NC(CNC([C@@H](NC([C@@H](NC([C@@H](NC([C@@H](NC([C@@H](NC([C@@H](NC([C@@H](NC([C@@H](NC([C@H](NC([C@@H](N)CC1=CC=C(O)C=C1)=O)CC(C)C)=O)CC2=CC=CC=C2)=O)C)=O)CC(=O)O)=O)C(C)C)=O)C)=O)CO)=O)[C@@H](C)O)=O)[C@H](CC)C)=O)=O)CC(=O)O)=O)CC3=CC=CC=C3)=O)CC4=CC=CC=C4)=O)CC5C=NC=N5)=O)CO)=O)[C@H](CC)C
InChI 1S/C91H128N20O25/c1-12-48(7)73(76(93)121)109-87(132)68(44-113)107-84(129)64(38-57-41-94-45-96-57)105-83(128)63(37-55-27-21-16-22-28-55)103-82(127)62(36-54-25-19-15-20-26-54)104-85(130)65(39-70(117)118)99-69(116)42-95-89(134)74(49(8)13-2)110-91(136)75(52(11)114)111-88(133)67(43-112)106-78(123)51(10)98-90(135)72(47(5)6)108-86(131)66(40-71(119)120)100-77(122)50(9)97-80(125)61(35-53-23-17-14-18-24-53)102-81(126)60(33-46(3)4)101-79(124)59(92)34-56-29-31-58(115)32-30-56/h14-32,41,45-52,57,59-68,72-75,112-115H,12-13,33-40,42-44,92H2,1-11H3,(H2,93,121)(H,95,134)(H,97,125)(H,98,135)(H,99,116)(H,100,122)(H,101,124)(H,102,126)(H,103,127)(H,104,130)(H,105,128)(H,106,123)(H,107,129)(H,108,131)(H,109,132)(H,110,136)(H,111,133)(H,117,118)(H,119,120)/t48-,49-,50-,51-,52+,57?,59-,60+,61-,62-,63-,64-,65-,66-,67-,68-,72-,73-,74-,75-/m0/s1
InChIKey FDLBMNIMNPXYLL-ZPHIGNHYSA-N
Market Analysis Reports
List of Reports Available for 2-Leu-Deltorphin
Related Products
(2,4-Dimethoxyphenyl)-[4-(Phenylmethoxy)...  4-Nitrobutyramide  (1S,2R,3S,4S,5R,8R,9R,11S)-8-Ethyl-4-[(2...  Chloroacetyl-Glycyl-Glycine  3,4-Dihydroxy-5-(6-Oxo-3H-Purin-9-Yl)Oxo...  Methotrexate sodium salt  4-((1,1'-Biphenyl)-4-Ylazo)-N,N-Dimethyl...  3-[(4-Aminophenyl)Azo]-4,5-Dihydroxynaph...  Diethyl[4-[[4-(Dimethylamino)Phenyl]Phen...  4-Nitrooxybutyl 2-[2-[(2,6-Dichloropheny...  2-Propyl-6-Methoxy-2,5-Cyclohexadiene-1,...  Aluminium Chlorate  Aluminum Salicylate  (3aS,6aR)-6alpha-Hexyl-3-Methylidene-3A,...  5,7-Dihydrobenzo[d][2]Benzoxepine-1,2,3,...