Online Database of Chemicals from Around the World

(2S,3R,4S,5S,6R)-2-[(2R,3S,4S,5R,6S)-6-(2,4-二硝基苯氧基)-5-氟-4-羟基-2-(羟基甲基)四氢吡喃-3-基]氧基-6-(羟基甲基)四氢吡喃-3,4,5-三醇
[CAS# 154862-23-4]

供应商
CAS#: 154862-23-4
产品: (2S,3R,4S,5S,6R)-2-[(2R,3S,4S,5R,6S)-6-(2,4-二硝基苯氧基)-5-氟-4-羟基-2-(羟基甲基)四氢吡喃-3-基]氧基-6-(羟基甲基)四氢吡喃-3,4,5-三醇
暂时没有厂家供应该产品。
基本信息
产品名称 (2S,3R,4S,5S,6R)-2-[(2R,3S,4S,5R,6S)-6-(2,4-二硝基苯氧基)-5-氟-4-羟基-2-(羟基甲基)四氢吡喃-3-基]氧基-6-(羟基甲基)四氢吡喃-3,4,5-三醇
英文名 (2S,3R,4S,5S,6R)-2-[(2R,3S,4S,5R,6S)-6-(2,4-Dinitrophenoxy)-5-Fluoro-4-Hydroxy-2-(Hydroxymethyl)Oxan-3-Yl]Oxy-6-(Hydroxymethyl)Oxane-3,4,5-Triol
别名 (2S,3R,4S,5S,6R)-2-[(2R,3S,4S,5R,6S)-6-(2,4-Dinitrophenoxy)-5-Fluoro-4-Hydroxy-2-(Hydroxymethyl)Tetrahydropyran-3-Yl]Oxy-6-(Hydroxymethyl)Tetrahydropyran-3,4,5-Triol; (2S,3R,4S,5S,6R)-2-[[(2R,3S,4S,5R,6S)-6-(2,4-Dinitrophenoxy)-5-Fluoro-4-Hydroxy-2-(Hydroxymethyl)-3-Tetrahydropyranyl]Oxy]-6-(Hydroxymethyl)Tetrahydropyran-3,4,5-Triol; (2S,3R,4S,5S,6R)-2-[(2R,3S,4S,5R,6S)-6-(2,4-Dinitrophenoxy)-5-Fluoro-4-Hydroxy-2-Methylol-Tetrahydropyran-3-Yl]Oxy-6-Methylol-Tetrahydropyran-3,4,5-Triol
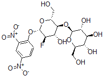
分子结构 CAS 登录号:154862-23-4, (2S,3R,4S,5S,6R)-2-[(2R,3S,4S,5R,6S)-6-(2,4-二硝基苯氧基)-5-氟-4-羟基-2-(羟基甲基)四氢吡喃-3-基]氧基-6-(羟基甲基)四氢吡喃-3,4,5-三醇
分子式 C18H23FN2O14
分子量 510.38
CAS 登录号 154862-23-4
分子行输入简码 SMILES [C@@H]1([C@@H]([C@H](O[C@H]([C@@H]1O)O[C@H]2[C@@H]([C@H]([C@@H](O[C@@H]2CO)OC3=C(C=C(C=C3)[N+]([O-])=O)[N+]([O-])=O)F)O)CO)O)O
国际化学标识码 InChI 1S/C18H23FN2O14/c19-11-13(25)16(35-18-15(27)14(26)12(24)9(4-22)33-18)10(5-23)34-17(11)32-8-2-1-6(20(28)29)3-7(8)21(30)31/h1-3,9-18,22-27H,4-5H2/t9-,10-,11-,12-,13-,14+,15-,16-,17-,18+/m1/s1
国际化学标识检索码 InChIKey WFVCNOHOODVBQK-IUBYCILNSA-N
物理化学性质
密度 1.755g/cm3 (计算值)
沸点 822.405°C at 760 mmHg (计算值)
闪点 451.174°C (计算值)
市场分析报告
请浏览(2S,3R,4S,5S,6R)-2-[(2R,3S,4S,5R,6S)-6-(2,4-二硝基苯氧基)-5-氟-4-羟基-2-(羟基甲基)四氢吡喃-3-基]氧基-6-(羟基甲基)四氢吡喃-3,4,5-三醇市场分析报告总目录
相关产品
Euphococcinine  3beta-[(3-O-甲基-6-脱氧-beta-...  1-(C-甲基-N-(苯基甲氧基)亚氨甲酰)环己烷...  1-(N-乙氧基-C-甲基亚胺甲酰基)环己烷-1-...  4-(C-甲基-N-(苯基甲氧基)亚氨甲酰)庚烷-...  4-(N-甲氧基-C-甲基亚胺甲酰基)庚烷-4-醇  4-(N-乙氧基-C-甲基亚胺甲酰基)庚烷-4-醇  4-氨基-2,3,5,6-四氟苯甲酰胺  1-(1-癸酰吡咯烷-2-基)丙-2-基(E)-2...  1-(1-癸酰吡咯烷-2-基)丙-2-基(E)-4...  睇波芬  二-锂四溴铜酸盐(II)  血晶素  鸟粪石  二钾二钠二磷酸盐