Online Database of Chemicals from Around the World

Staunoside E
[CAS# 155661-21-5]

供应商
CAS#: 155661-21-5
产品: Staunoside E
暂时没有厂家供应该产品。
基本信息
产品名称 Staunoside E
英文名 Staunoside E
别名 [6-[[3,4-Dihydroxy-6-(Hydroxymethyl)-5-(3,4,5-Trihydroxy-6-Methyl-Tetrahydropyran-2-Yl)Oxy-Tetrahydropyran-2-Yl]Oxymethyl]-3,4,5-Trihydroxy-Tetrahydropyran-2-Yl] 10-[5-Hydroxy-6-(Hydroxymethyl)-3,4-Bis[[3,4,5-Trihydroxy-6-(Hydroxymethyl)Tetrahydropyran-2-Yl]Oxy]Tetrahydropyran-2-Yl]Oxy-9-(Hydroxymethyl)-2,2,6A,6B,9,12A-Hexamethyl-1,3,4,5,6,6A,7,8,8A,10,11,12,13,14B-Tetradecahydropicene-4A-Carboxylate; 10-[[5-Hydroxy-6-(Hydroxymethyl)-3,4-Bis[[3,4,5-Trihydroxy-6-(Hydroxymethyl)-2-Tetrahydropyranyl]Oxy]-2-Tetrahydropyranyl]Oxy]-9-(Hydroxymethyl)-2,2,6A,6B,9,12A-Hexamethyl-1,3,4,5,6,6A,7,8,8A,10,11,12,13,14B-Tetradecahydropicene-4A-Carboxylic Acid [6-[[3,4-Dihydroxy-6-(Hydroxymethyl)-5-[(3,4,5-Trihydroxy-6-Methyl-2-Tetrahydropyranyl)Oxy]-2-Tetrahydropyranyl]Oxymethyl]-3,4,5-Trihydroxy-2-Tetrahydropyranyl] Ester; 10-[5-Hydroxy-6-Methylol-3,4-Bis[(3,4,5-Trihydroxy-6-Methylol-Tetrahydropyran-2-Yl)Oxy]Tetrahydropyran-2-Yl]Oxy-2,2,6A,6B,9,12A-Hexamethyl-9-Methylol-1,3,4,5,6,6A,7,8,8A,10,11,12,13,14B-Tetradecahydropicene-4A-Carboxylic Acid [6-[[3,4-Dihydroxy-6-Methylol-5-(3,4,5-Trihydroxy-6-Methyl-Tetrahydropyran-2-Yl)Oxy-Tetrahydropyran-2-Yl]Oxymethyl]-3,4,5-Trihydroxy-Tetrahydropyran-2-Yl] Ester
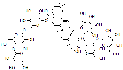
分子结构 CAS 登录号:155661-21-5, Staunoside E
分子式 C66H108O33
分子量 1429.56
CAS 登录号 155661-21-5
分子行输入简码 SMILES C(OC1C(C(O)C(C(O1)CO)OC2C(C(O)C(C(O2)C)O)O)O)C%11C(O)C(C(C(OC(C4%10C(C3=CCC8C(C3(CC4)C)(C)CCC9C(C(OC6C(C(OC5C(C(O)C(C(O5)CO)O)O)C(C(CO)O6)O)OC7C(C(O)C(C(O7)CO)O)O)CCC89C)(CO)C)CC(CC%10)(C)C)=O)O%11)O)O
国际化学标识码 InChI 1S/C66H108O33/c1-25-36(72)41(77)46(82)55(89-25)96-51-31(22-70)93-54(50(86)45(51)81)88-23-32-39(75)44(80)49(85)58(94-32)99-60(87)66-16-14-61(2,3)18-27(66)26-8-9-34-62(4)12-11-35(63(5,24-71)33(62)10-13-65(34,7)64(26,6)15-17-66)95-59-53(98-57-48(84)43(79)38(74)29(20-68)91-57)52(40(76)30(21-69)92-59)97-56-47(83)42(78)37(73)28(19-67)90-56/h8,25,27-59,67-86H,9-24H2,1-7H3
国际化学标识检索码 InChIKey PRAVTQRLNMDWKH-UHFFFAOYSA-N
物理化学性质
密度 1.566g/cm3 (计算值)
市场分析报告
请浏览Staunoside E市场分析报告总目录
相关产品
2,6-二氯氧杂蒽-9-酮  (Z)-N-[2-[(2-氨基乙基)氨基]乙基]-...  2-氯-3-[(4-甲基哌嗪-1-基)氨基]萘-1...  2-氯-3-(氯氨基)萘-1,4-二酮  2-(3,4-二羟基苯基)-5,7-二羟基-4-氧...  (2-乙基己基)二(十三烷基)磷酸酯铵盐  1,4-二(2'-氯乙基)-1,4-二氮杂双环(2...  2-[(4-溴-2-氟苯基)甲基]-6-氟螺[异喹...  氯-三(苯基)硅烷  二乙氧基-二(苯基)硅烷  2-(N-乙基乙酰氨基)乙基乙酸酯  5-(氨基甲基烯)-2,2-二甲基-1,3-二恶烷...  Encelin  4-甲基芴  (-4-羟基-4-(3-吡啶基)丁酸