Online Database of Chemicals from Around the World

[3-[(2S,3S,4S,5R,6R)-3,5-二羟基-6-(羟基甲基)-4-[(2R,3R,4S,5S,6R)-3,4,5-三羟基-6-(羟基甲基)四氢吡喃-2-基]氧基四氢吡喃-2-基]氧基-2-(14-甲基十五烷酰基氧基)丙基]14-甲基十六烷酸酯
[CAS# 156957-28-7]

供应商
CAS#: 156957-28-7
产品: [3-[(2S,3S,4S,5R,6R)-3,5-二羟基-6-(羟基甲基)-4-[(2R,3R,4S,5S,6R)-3,4,5-三羟基-6-(羟基甲基)四氢吡喃-2-基]氧基四氢吡喃-2-基]氧基-2-(14-甲基十五烷酰基氧基)丙基]14-甲基十六烷酸酯
暂时没有厂家供应该产品。
基本信息
产品名称 [3-[(2S,3S,4S,5R,6R)-3,5-二羟基-6-(羟基甲基)-4-[(2R,3R,4S,5S,6R)-3,4,5-三羟基-6-(羟基甲基)四氢吡喃-2-基]氧基四氢吡喃-2-基]氧基-2-(14-甲基十五烷酰基氧基)丙基]14-甲基十六烷酸酯
英文名 [3-[(2S,3S,4S,5R,6R)-3,5-Dihydroxy-6-(Hydroxymethyl)-4-[(2R,3R,4S,5S,6R)-3,4,5-Trihydroxy-6-(Hydroxymethyl)Oxan-2-Yl]Oxyoxan-2-Yl]Oxy-2-(14-Methylpentadecanoyloxy)Propyl] 14-Methylhexadecanoate
别名 [3-[(2S,3S,4S,5R,6R)-3,5-Dihydroxy-6-(Hydroxymethyl)-4-[(2R,3R,4S,5S,6R)-3,4,5-Trihydroxy-6-(Hydroxymethyl)Tetrahydropyran-2-Yl]Oxy-Tetrahydropyran-2-Yl]Oxy-2-(14-Methylpentadecanoyloxy)Propyl] 14-Methylhexadecanoate; 14-Methylhexadecanoic Acid [3-[[(2S,3S,4S,5R,6R)-3,5-Dihydroxy-6-(Hydroxymethyl)-4-[[(2R,3R,4S,5S,6R)-3,4,5-Trihydroxy-6-(Hydroxymethyl)-2-Tetrahydropyranyl]Oxy]-2-Tetrahydropyranyl]Oxy]-2-(14-Methyl-1-Oxopentadecoxy)Propyl] Ester; 14-Methylpalmitic Acid [3-[(2S,3S,4S,5R,6R)-3,5-Dihydroxy-6-Methylol-4-[(2R,3R,4S,5S,6R)-3,4,5-Trihydroxy-6-Methylol-Tetrahydropyran-2-Yl]Oxy-Tetrahydropyran-2-Yl]Oxy-2-(14-Methylpentadecanoyloxy)Propyl] Ester
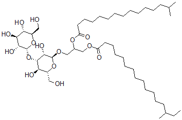
分子结构 CAS 登录号:156957-28-7, [3-[(2S,3S,4S,5R,6R)-3,5-二羟基-6-(羟基甲基)-4-[(2R,3R,4S,5S,6R)-3,4,5-三羟基-6-(羟基甲基)四氢吡喃-2-基]氧基四氢吡喃-2-基]氧基-2-(14-甲基十五烷酰基氧基)丙基]14-甲基十六烷酸酯
分子式 C48H90O15
分子量 907.23
CAS 登录号 156957-28-7
分子行输入简码 SMILES [C@@H]2(O[C@H]1O[C@@H]([C@@H](O)[C@H](O)[C@H]1O)CO)[C@H](O)[C@H](O[C@@H]([C@H]2O)CO)OCC(OC(=O)CCCCCCCCCCCCC(C)C)COC(=O)CCCCCCCCCCCCC(CC)C
国际化学标识码 InChI 1S/C48H90O15/c1-5-35(4)27-23-19-15-11-7-9-12-16-20-24-28-39(51)58-32-36(60-40(52)29-25-21-17-13-8-6-10-14-18-22-26-34(2)3)33-59-47-45(57)46(42(54)38(31-50)61-47)63-48-44(56)43(55)41(53)37(30-49)62-48/h34-38,41-50,53-57H,5-33H2,1-4H3/t35?,36?,37-,38-,41-,42-,43+,44-,45+,46+,47+,48-/m1/s1
国际化学标识检索码 InChIKey HDFSOYPNMIVZMT-WKKKTHSJSA-N
物理化学性质
密度 1.152g/cm3 (计算值)
沸点 940.692°C at 760 mmHg (计算值)
闪点 257.337°C (计算值)
市场分析报告
请浏览[3-[(2S,3S,4S,5R,6R)-3,5-二羟基-6-(羟基甲基)-4-[(2R,3R,4S,5S,6R)-3,4,5-三羟基-6-(羟基甲基)四氢吡喃-2-基]氧基四氢吡喃-2-基]氧基-2-(14-甲基十五烷酰基氧基)丙基]14-甲基十六烷酸酯市场分析报告总目录
相关产品
(3beta)-3-((O-beta-D-吡喃葡萄...  五氰基铁酸盐(II)    3,4-二(苄氧基)苯甲酸  3-[2,2,2-三氟-1-(三氟甲基)-1-羟基...  铒170  6,7-二甲基-2,4-二吡咯烷-1-基吡咯并[3...  锰亚硒酸盐  镁硅酸盐  8-羟基-3,4-二甲基-1H-2-苯并吡喃-1-...  (2S)-2-[(2R,3S,4R,5R,6S)-...  二碘铂三甲基鏻  哌拉西林-三唑巴坦组合物  Benzomalvin A  Benzomalvin B