Online Database of Chemicals from Around the World

Vd1-Rpd2 神经肽 alpha(2)
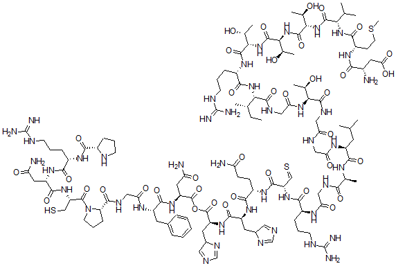
[CAS# 157452-74-9]

供应商
CAS#: 157452-74-9
产品: Vd1-Rpd2 神经肽 alpha(2)
暂时没有厂家供应该产品。
基本信息
产品名称 Vd1-Rpd2 神经肽 alpha(2)
英文名 Vd1-Rpd2 Neuropeptide alpha(2)
别名 Vd1-Rpd2 Neuropeptide Alpha2
分子结构 CAS 登录号:157452-74-9, Vd1-Rpd2 神经肽 alpha(2)
分子式 C123H196N44O38S3
分子量 2995.35
CAS 登录号 157452-74-9
分子行输入简码 SMILES [C@H](C(=O)OC([C@@H](NC([C@@H](NC([C@@H](NC([C@@H](NC([C@@H](NC(CNC([C@@H](NC([C@@H](NC(CNC(CNC([C@@H](NC(CNC([C@@H](NC([C@@H](NC([C@@H](NC([C@@H](NC([C@@H](NC([C@@H](NC([C@@H](NC([C@@H](N)CC(=O)O)=O)CCSC)=O)C(C)C)=O)[C@@H](C)O)=O)[C@@H](C)O)=O)[C@@H](C)O)=O)CCCNC(=N)N)=O)[C@H](CC)C)=O)=O)[C@@H](C)O)=O)=O)=O)CC(C)C)=O)C)=O)=O)CCCNC(=N)N)=O)C=S)=O)CCC(=O)N)=O)CC1C=NC=N1)=O)CC2C=NC=N2)=O)(NC([C@@H](NC(CNC([C@H]3N(CCC3)C([C@@H](NC([C@@H](NC([C@@H](NC([C@H]4NCCC4)=O)CCCNC(=N)N)=O)CC(=O)N)=O)CS)=O)=O)=O)CC5=CC=CC=C5)=O)CC(=O)N
国际化学标识码 InChI 1S/C123H196N44O38S3/c1-13-58(6)93(163-104(188)71(27-20-35-139-123(132)133)154-115(199)95(61(9)169)165-117(201)97(63(11)171)166-116(200)96(62(10)170)164-114(198)92(57(4)5)162-105(189)73(31-37-208-12)151-99(183)67(124)42-91(180)181)112(196)144-51-90(179)161-94(60(8)168)113(197)143-47-86(175)140-48-87(176)149-74(38-56(2)3)106(190)147-59(7)98(182)141-49-88(177)148-69(25-18-33-137-121(128)129)101(185)159-80(52-206)110(194)153-72(29-30-83(125)172)103(187)155-76(40-65-45-134-54-145-65)108(192)157-78(41-66-46-135-55-146-66)119(203)205-120(204)79(44-85(127)174)158-107(191)75(39-64-22-15-14-16-23-64)150-89(178)50-142-111(195)82-28-21-36-167(82)118(202)81(53-207)160-109(193)77(43-84(126)173)156-102(186)70(26-19-34-138-122(130)131)152-100(184)68-24-17-32-136-68/h14-16,22-23,45-46,52,54-63,65-82,92-97,136,168-171,207H,13,17-21,24-44,47-51,53,124H2,1-12H3,(H2,125,172)(H2,126,173)(H2,127,174)(H,140,175)(H,141,182)(H,142,195)(H,143,197)(H,144,196)(H,147,190)(H,148,177)(H,149,176)(H,150,178)(H,151,183)(H,152,184)(H,153,194)(H,154,199)(H,155,187)(H,156,186)(H,157,192)(H,158,191)(H,159,185)(H,160,193)(H,161,179)(H,162,189)(H,163,188)(H,164,198)(H,165,201)(H,166,200)(H,180,181)(H4,128,129,137)(H4,130,131,138)(H4,132,133,139)/t58-,59-,60+,61+,62+,63+,65?,66?,67-,68-,69-,70-,71-,72-,73-,74-,75-,76-,77-,78-,79-,80-,81-,82-,92-,93-,94-,95-,96-,97-/m0/s1
国际化学标识检索码 InChIKey NIVFFXVQVIRWIS-RYZMZDQVSA-N
市场分析报告
请浏览Vd1-Rpd2 神经肽 alpha(2)市场分析报告总目录
相关产品
5-叔丁基-2,3-二(4-硝基苯基)四唑-2-鎓...  (2S)-2-[[(2S)-1-[(2S)-6-氨...  钬-164  钬-159  钬-167  铟111  镁硝酸盐二水合物  六(1H-咪唑)二氯化镍  镱-176  1-(二乙氧基磷酰甲基)-4-(苯基甲基)哌嗪  1-[[4-(二乙氧基磷酰甲基)苯基]甲基]-4-...  顺式-1,2-环己烷二甲醇  9-丁酰基-4,7-二羟基-8-甲基苯并[c]苯并...  (E)-4-(3-甲基苯基)丁-3-烯-2-酮  3,4-二甲基-2,5-二氢呋喃-2-酮