Online Database of Chemicals from Around the World

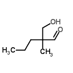
2-(Hydroxymethyl)-2-Methylpentanal
[CAS# 1634-71-5]

Suppliers
Achemica Switzerland Inquire  
+41 (24) 466-2929
contact@achemica.com
Chemical manufacturer since 2010
Otava Ltd. Ukraine Inquire  
+380 (44) 522-2458
order@otavachemicals.com
Chemical manufacturer since 1997
Identification
Name 2-(Hydroxymethyl)-2-Methylpentanal
Molecular Structure CAS#: 1634-71-5, 2-(Hydroxymethyl)-2-Methylpentanal
Molecular Formula C7H14O2
Molecular Weight 130.18
CAS Registry Number 1634-71-5
SMILES O=CC(C)(CCC)CO
InChI 1S/C7H14O2/c1-3-4-7(2,5-8)6-9/h5,9H,3-4,6H2,1-2H3
InChIKey FKNUYPBTCINVEP-UHFFFAOYSA-N
Properties
Density 0.937g/cm3 (Cal.)
Boiling point 196.666°C at 760 mmHg (Cal.)
Flash point 76.539°C (Cal.)
Refractive index 1.433 (Cal.)
Market Analysis Reports
List of Reports Available for 2-(Hydroxymethyl)-2-Methylpentanal
Related Products
3-(2-Propyn-1-Yl)-4(3H)-Quinazolinone  1-(4-Methylphenyl)-2,4,6(1H,3H,5H)-Pyrim...  1-(2-Methoxyphenyl)-2,4,6(1H,3H,5H)-Pyri...  3-[(E)-(Methoxyimino)Methyl]Aniline  1-[(Benzyloxy)Carbonyl]-L-Prolyl-L-Leuci...  N<Sup>2</Sup>-Methyl-1,3-Benzothiazole-2...  2,3-Dichloro-1,3-Cyclopentadiene-1-Carba...  2,5-Bis(Methylene)-3-Cyclohexene-1-Carbo...  1-Propyl-2,5-Piperazinedione  1-Isobutyl-2,5-Piperazinedione  1-Butyl-2,5-Piperazinedione  Manganese(2+) 5-[(1R)-1,2-Dihydroxyethyl...  N-Methyl[1,3]Thiazolo[4,5-f]Quinolin-2-A...  (1R,2R,4S)-7-Methyl-7-Azabicyclo[2.2.1]H...  4,4,5,5-Tetramethyl-1,3,2-Dioxaphosphola...