Online Database of Chemicals from Around the World

N1,N14-Bis(2-ethylhexyl)-3,12-diimino-2,4,11,13-Tetraazatetradecanediimidamide hydrochloride (1:2)
[CAS# 1715-30-6]

Suppliers
Achemica Switzerland Inquire  
+41 (24) 466-2929
contact@achemica.com
Chemical manufacturer since 2010
Alfa Chemistry USA Inquire  
+1 (201) 478-8534
inquiry@alfa-chemistry.com
Chemical distributor since 2012
Cayman Chemical Company USA Inquire  
+1 (734) 971-3335
sales@caymanchem.com
Chemical manufacturer
Glentham Life Sciences UK Inquire  
+44 (2033) 978-798
info@glenthamls.com
Chemical distributor since 2013
Interchim Inc. USA Inquire  
+1 (800) 560-8262
web@interchiminc.com
Chemical manufacturer
International Laboratory Limited USA Inquire  
+1 (650) 278-9963
admin@intlab.org
Chemical manufacturer since 2002
Santa Cruz Biotechnology, Inc. USA Inquire  
+1 (831) 457-3800
scbt@scbt.com
Chemical manufacturer
SynQuest Labs, Inc. USA Inquire  
+1 (386) 462-0788
info@synquestlabs.com
Chemical manufacturer
Tocris Bioscience Inc. USA Inquire  
+1 (636) 207-7651
marketing@tocrisusa.com
Chemical manufacturer since 1982
Zylexa Pharma Ltd. UK Inquire  
+44 (845) 299-6009/
sales@zylexa-pharma.com,enquiries@zylexa-pharma.com
Chemical manufacturer
Identification
Name N1,N14-Bis(2-ethylhexyl)-3,12-diimino-2,4,11,13-Tetraazatetradecanediimidamide hydrochloride (1:2)
Synonyms "N1,N14-bis(2-ethylhexyl)-3,12-diimino-2,4,11,13-tetraazatetradecanediimidamide, dihydrochloride"; [1715-30-6]; 1,1'-Hexamethylenebis[5-(2-ethylhex-1-yl)]biguanide dihydrochloride
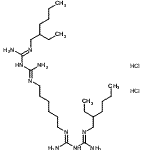
Molecular Structure CAS#: 1715-30-6, N1,N14-Bis(2-ethylhexyl)-3,12-diimino-2,4,11,13-Tetraazatetradecanediimidamide hydrochloride (1:2)
Molecular Formula C26H58Cl2N10
Molecular Weight 581.71
CAS Registry Number 1715-30-6
EINECS 216-994-6
SMILES CCCCC(CC)CNC(=N)NC(=N)NCCCCCCNC(=N)NC(=N)NCC(CC)CCCC.Cl.Cl
InChI 1S/C26H56N10.2ClH/c1-5-9-15-21(7-3)19-33-25(29)35-23(27)31-17-13-11-12-14-18-32-24(28)36-26(30)34-20-22(8-4)16-10-6-2;;/h21-22H,5-20H2,1-4H3,(H5,27,29,31,33,35)(H5,28,30,32,34,36);2*1H
InChIKey BRJJFBHTDVWTCJ-UHFFFAOYSA-N
Properties
Melting point 220-224°C (Expl.)
Refractive index (Cal.)
solubility Soluble to 100 mM in DMSO and to 100 mM in ethanol
Safety Data
Safety Description Irritant/Store at -20??C
Irritant/Store at -20°C
SDS Available
Market Analysis Reports
List of Reports Available for N1,N14-Bis(2-ethylhexyl)-3,12-diimino-2,4,11,13-Tetraazatetradecanediimidamide hydrochloride (1:2)
Related Products
1H-Imidazo[1,5-d][1,4]Diazepine  [1,3]Thiazolo[5,4-g]Quinazoline  4,8,11-Triazatricyclo[5.2.2.0<Sup>2,6</S...  cis-3-Hydroxy-N-Methoxy-N-Methylcyclobut...  trans-3-Hydroxy-N-Methoxy-N-Methylcyclob...  cis-3-Amino-N-Methoxy-N-Methylcyclobutan...  trans-3-Amino-N-Methoxy-N-Methylcyclobut...  2-Methyl-2-Propanyl (cis-3-Formylcyclobu...  2-Methyl-2-Propanyl (trans-3-Formylcyclo...  2-Methyl-2-Propanyl [(1R,2S)-2-Vinylcycl...  [(1R,2S)-2-(2-Hydroxyethyl)Cyclopropyl](...  2-Methyl-2-Propanyl [(1R,2S)-2-(2-Oxoeth...  3-Sulfanylbenzenesulfonamide  (3beta,16beta,17alpha)-10,17-Dimethyl-17...  4-(Trifluoroacetyl)Benzamide