Online Database of Chemicals from Around the World

氯-[2-(氯汞基)-4,5-二十二烷氧基-3,6-二甲基-苯基]汞
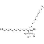
[CAS# 178959-28-9]

基本信息
产品分类 分析化学 >> 分析试剂 >> 常用分析试剂
产品名称 氯-[2-(氯汞基)-4,5-二十二烷氧基-3,6-二甲基-苯基]汞
英文名 Chloro-[2-(Chloromercurio)-4,5-Didodecoxy-3,6-Dimethyl-Phenyl]Mercury
别名 3,6-Didodecyloxy-4,5-dimethyl-o-phenylene-bis(mercury chloride); Chloride ionophore III; ETH 9033
分子结构 CAS 登录号:178959-28-9, 氯-[2-(氯汞基)-4,5-二十二烷氧基-3,6-二甲基-苯基]汞
分子式 C32H56Cl2Hg2O2
分子量 944.87
CAS 登录号 178959-28-9
分子行输入简码 SMILES Cl[Hg]c1c(c(OCCCCCCCCCCCC)c(OCCCCCCCCCCCC)c(c1[Hg]Cl)C)C
国际化学标识码 InChI 1S/C32H56O2.2ClH.2Hg/c1-5-7-9-11-13-15-17-19-21-23-27-33-31-29(3)25-26-30(4)32(31)34-28-24-22-20-18-16-14-12-10-8-6-2;;;;/h5-24,27-28H2,1-4H3;2*1H;;/q;;;2*+1/p-2
国际化学标识检索码 InChIKey SSQLFLVGBOQWGG-UHFFFAOYSA-L
物理化学性质
折射率 (计算值)
安全数据
SDS 化学品安全技术说明书参考文本
市场分析报告
请浏览氯-[2-(氯汞基)-4,5-二十二烷氧基-3,6-二甲基-苯基]汞市场分析报告总目录
相关产品
3-异丙基苯硫醇  甲基(4S)-4-羟基-D-脯氨酸酯  (3R,4R,5R,6R)-氮杂环庚烷-3,4,5...  4-氟-1-甲氧基-2-(2-甲基-2-丙烯-1-...  1-异丙基-4-(氨基磺酰基氨基)苯  {4-[(3,5-二氯苯基)亚磺酰]-5-异丙基-...  {5-[(3,5-二氯苯基)硫基]-4-异丙基-1...  7-乙氧基-1H-喹啉-4-硫酮  7,8-二甲基喹啉-4-醇  甲基(6R)-6-甲基-1,3-环己二烯-1-羧酸...  2-乙氧基-4-氟苯胺  4,5,6,7-四氢[1,3]噻唑并[5,4-c]...  二丙基丙基膦酸酯  7-甲基-2-(2-甲基-2-丙基)-1,3-苯并...  2-(2-甲基-2-丙基)-1,3-苯并噻唑-7-...