Online Database of Chemicals from Around the World

4-O-(吡喃葡萄糖基糖醛酸)木糖
[CAS# 17913-27-8]

供应商
CAS#: 17913-27-8
产品: 4-O-(吡喃葡萄糖基糖醛酸)木糖
暂时没有厂家供应该产品。
基本信息
产品名称 4-O-(吡喃葡萄糖基糖醛酸)木糖
英文名 4-O-(Glucopyranosyluronic Acid)Xylose
别名 (2S,3S,4S,5R,6S)-6-[(1R,2R,3R)-2,3-Dihydroxy-1-(Hydroxymethyl)-4-Oxo-Butoxy]-3,4,5-Trihydroxy-Tetrahydropyran-2-Carboxylic Acid; (2S,3S,4S,5R,6S)-6-[(1R,2R,3R)-2,3-Dihydroxy-1-(Hydroxymethyl)-4-Oxobutoxy]-3,4,5-Trihydroxy-2-Tetrahydropyrancarboxylic Acid; (2S,3S,4S,5R,6S)-6-[(1R,2R,3R)-2,3-Dihydroxy-4-Keto-1-Methylol-Butoxy]-3,4,5-Trihydroxy-Tetrahydropyran-2-Carboxylic Acid
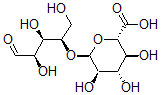
分子结构 CAS 登录号:17913-27-8, 4-O-(吡喃葡萄糖基糖醛酸)木糖
分子式 C11H18O11
分子量 326.26
CAS 登录号 17913-27-8
分子行输入简码 SMILES [C@@H]1(O[C@@H]([C@H]([C@@H]([C@H]1O)O)O)C(O)=O)O[C@@H]([C@@H]([C@H](C=O)O)O)CO
国际化学标识码 InChI 1S/C11H18O11/c12-1-3(14)5(15)4(2-13)21-11-8(18)6(16)7(17)9(22-11)10(19)20/h1,3-9,11,13-18H,2H2,(H,19,20)/t3-,4+,5+,6-,7-,8+,9-,11-/m0/s1
国际化学标识检索码 InChIKey QMOUIIQCABQVBO-JFMKVQEESA-N
物理化学性质
密度 1.759g/cm3 (计算值)
沸点 723.986°C at 760 mmHg (计算值)
闪点 275.032°C (计算值)
市场分析报告
请浏览4-O-(吡喃葡萄糖基糖醛酸)木糖市场分析报告总目录
相关产品
2,4,7,9-四甲基-4,7-癸烷二醇  3beta-羟基孕甾-5-烯-20-酮肟 3-乙酸...  16-氧代雌二醇3-硫酸盐  6-甲基-2,4-嘧啶二胺  alpha-苯基氮丙啶-1-乙醇  对异丙烯基苯基三甲基硅烷  砷酸三(三甲基硅烷基)酯  甘氨酰-丙氨酰-苯丙氨酸  2-甲基-5-硝基-1H-苯并咪唑  2-((4-硝基苯氧基)甲基)-1,3-二氧戊环  2-氨基-5,5-二苯基-1,3-恶唑-4-酮  薇甘菊内酯  5-氯-3-(羟基甲基)苯并恶唑-2(3H)-酮  吲哚-3-乙酰基-epsilon-赖氨酸  三异戊基柠檬酸盐