Online Database of Chemicals from Around the World

4-O-吡喃半乳糖基-3,6-去氢半乳糖二甲基缩醛
[CAS# 20379-41-3]

供应商
CAS#: 20379-41-3
产品: 4-O-吡喃半乳糖基-3,6-去氢半乳糖二甲基缩醛
暂时没有厂家供应该产品。
基本信息
产品名称 4-O-吡喃半乳糖基-3,6-去氢半乳糖二甲基缩醛
英文名 4-O-Galactopyranosyl-3,6-Anhydrogalactose Dimethylacetal
别名 (2S,3R,4S,5R,6R)-2-[(2S,3R,4S)-4-Hydroxy-2-[(1S)-1-Hydroxy-2,2-Dimethoxy-Ethyl]Tetrahydrofuran-3-Yl]Oxy-6-(Hydroxymethyl)Tetrahydropyran-3,4,5-Triol; (2S,3R,4S,5R,6R)-2-[[(2S,3R,4S)-4-Hydroxy-2-[(1S)-1-Hydroxy-2,2-Dimethoxyethyl]-3-Tetrahydrofuranyl]Oxy]-6-(Hydroxymethyl)Tetrahydropyran-3,4,5-Triol; (2S,3R,4S,5R,6R)-2-[(2S,3R,4S)-4-Hydroxy-2-[(1S)-1-Hydroxy-2,2-Dimethoxy-Ethyl]Tetrahydrofuran-3-Yl]Oxy-6-Methylol-Tetrahydropyran-3,4,5-Triol
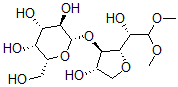
分子结构 CAS 登录号:20379-41-3, 4-O-吡喃半乳糖基-3,6-去氢半乳糖二甲基缩醛
分子式 C14H26O11
分子量 370.35
CAS 登录号 20379-41-3
分子行输入简码 SMILES [C@@H]1([C@@H]([C@@H](O)[C@H]([C@H](O1)CO)O)O)O[C@H]2[C@H]([C@@H](C(OC)OC)O)OC[C@@H]2O
国际化学标识码 InChI 1S/C14H26O11/c1-21-13(22-2)10(20)12-11(5(16)4-23-12)25-14-9(19)8(18)7(17)6(3-15)24-14/h5-20H,3-4H2,1-2H3/t5-,6+,7-,8-,9+,10-,11+,12-,14-/m0/s1
国际化学标识检索码 InChIKey ZIWAHEUMIYTNAM-XQEHQGFQSA-N
物理化学性质
密度 1.521g/cm3 (计算值)
沸点 643.31°C at 760 mmHg (计算值)
闪点 342.862°C (计算值)
市场分析报告
请浏览4-O-吡喃半乳糖基-3,6-去氢半乳糖二甲基缩醛市场分析报告总目录
相关产品
1H-Phenalene  顺式-2-(二甲基氨基)-1-苯基环己-3-烯-1...  3-(对茴香酰)-N-(3-羟基丙基)丙酰胺  8alpha-(3,4-二氯苯基)-3,4,8,8...  3-(2,4-二甲基苯甲酰)-N-(3-羟基丙基)...  6-苯乙基-6alpha-beta-去甲阿朴啡-1...  6-甲硫基嘧啶-4-胺  N,N-二异丙基苯甲酰胺  3,5-二氨基-N-[氨基-(苯基氨基)亚甲基]-...  4-氯苄基苯甲酸酯  1,1'-(六亚甲二氧基)二(3-氯丙-2-醇)  7-(2,4-二羟基苯基)-5-羟基-2,2-二甲...  2,6-二碘对苯醌  1-苯基-1H-四唑-5-硫醇银(1+)  3,5-二(苯基)-1H-1,2,4-三唑