Online Database of Chemicals from Around the World

毛花苷 E
[CAS# 20460-30-4]

供应商
CAS#: 20460-30-4
产品: 毛花苷 E
暂时没有厂家供应该产品。
基本信息
产品名称 毛花苷 E
英文名 Lanatoside E
别名 [(2R,3R,4S,6R)-6-[(2R,3R,4S,6S)-6-[[(3S,5R,8R,9S,10S,13R,16S,17R)-16-Formyloxy-14-Hydroxy-10,13-Dimethyl-17-(5-Oxo-2H-Furan-3-Yl)-1,2,3,4,5,6,7,8,9,11,12,15,16,17-Tetradecahydrocyclopenta[A]Phenanthren-3-Yl]Oxy]-4-[(2R,4S,5R,6R)-5-Hydroxy-6-Methyl-4-[(2R,3R,4S,5S,6R)-3,4,5-Trihydroxy-6-(Hydroxymethyl)Tetrahydropyran-2-Yl]Oxy-Tetrahydropyran-2-Yl]Oxy-2-Methyl-Tetrahydropyran-3-Yl]Oxy-3-Hydroxy-2-Methyl-Tetrahydropyran-4-Yl] Acetate; Acetic Acid [(2R,3R,4S,6R)-6-[[(2R,3R,4S,6S)-6-[[(3S,5R,8R,9S,10S,13R,16S,17R)-16-Formyloxy-14-Hydroxy-10,13-Dimethyl-17-(5-Oxo-2H-Furan-3-Yl)-1,2,3,4,5,6,7,8,9,11,12,15,16,17-Tetradecahydrocyclopenta[A]Phenanthren-3-Yl]Oxy]-4-[[(2R,4S,5R,6R)-5-Hydroxy-6-Methyl-4-[[(2R,3R,4S,5S,6R)-3,4,5-Trihydroxy-6-(Hydroxymethyl)-2-Tetrahydropyranyl]Oxy]-2-Tetrahydropyranyl]Oxy]-2-Methyl-3-Tetrahydropyranyl]Oxy]-3-Hydroxy-2-Methyl-4-Tetrahydropyranyl] Ester; Acetic Acid [(2R,3R,4S,6R)-6-[(2R,3R,4S,6S)-6-[[(3S,5R,8R,9S,10S,13R,16S,17R)-16-Formyloxy-14-Hydroxy-17-(5-Keto-2H-Furan-3-Yl)-10,13-Dimethyl-1,2,3,4,5,6,7,8,9,11,12,15,16,17-Tetradecahydrocyclopenta[A]Phenanthren-3-Yl]Oxy]-4-[(2R,4S,5R,6R)-5-Hydroxy-6-Methyl-4-[(2R,3R,4S,5S,6R)-3,4,5-Trihydroxy-6-Methylol-Tetrahydropyran-2-Yl]Oxy-Tetrahydropyran-2-Yl]Oxy-2-Methyl-Tetrahydropyran-3-Yl]Oxy-3-Hydroxy-2-Methyl-Tetrahydropyran-4-Yl] Ester
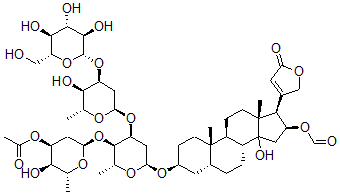
分子结构 CAS 登录号:20460-30-4, 毛花苷 E
分子式 C50H76O21
分子量 1013.14
CAS 登录号 20460-30-4
分子行输入简码 SMILES [C@H]34C1(O)[C@@]([C@H]([C@@H](OC=O)C1)C2=CC(OC2)=O)(CC[C@@H]3[C@@]9([C@H](CC4)C[C@@H](O[C@H]8O[C@@H]([C@@H](O[C@H]5O[C@@H]([C@@H](O)[C@@H](OC(=O)C)C5)C)[C@@H](O[C@H]7O[C@@H]([C@@H](O)[C@@H](O[C@@H]6O[C@@H]([C@@H](O)[C@H](O)[C@H]6O)CO)C7)C)C8)C)CC9)C)C
国际化学标识码 InChI 1S/C50H76O21/c1-22-41(55)31(66-25(4)53)15-39(64-22)71-46-24(3)65-37(17-33(46)68-38-16-32(42(56)23(2)63-38)69-47-45(59)44(58)43(57)35(19-51)70-47)67-28-9-11-48(5)27(14-28)7-8-30-29(48)10-12-49(6)40(26-13-36(54)61-20-26)34(62-21-52)18-50(30,49)60/h13,21-24,27-35,37-47,51,55-60H,7-12,14-20H2,1-6H3/t22-,23-,24-,27-,28+,29+,30-,31+,32+,33+,34+,35-,37-,38-,39-,40+,41-,42-,43-,44+,45-,46-,47-,48+,49-,50?/m1/s1
国际化学标识检索码 InChIKey ICEVACCZVSWGIL-RIHNEJIDSA-N
物理化学性质
密度 1.419g/cm3 (计算值)
市场分析报告
请浏览毛花苷 E市场分析报告总目录
相关产品
1-(4-氯-苯基)-2,5-二甲基-1H-吡咯-...  2-甲基-2-环己烯-1-醇  2-(癸酰-甲基-氨基)乙烷磺酸钠  乙醛酸乙酯二乙基缩硫醛  3,3'-[异亚丙基二(对亚苯基氧基)]二丙醇  10-[(6-氨基己基)氨基]-10-氧代癸酸  N,N-二甲基-2-[(三乙基硅烷基)氧基]乙胺  N-[2-[(三乙基硅烷基)氧基]乙基]-1-丁胺  N,N-二丁基-N-[2-[(三乙基硅烷基)氧基]...  1-[2-(三乙基硅烷基氧基)乙基]哌啶  4,4-二乙基-3,5-二氧杂-4-硅杂庚烷-1,...  3,3,11,11-四乙基-4,10-二氧杂-7-...  3,3,11,11-四乙基-7-[2-(三乙基硅氧...  3,7,7,11-四乙基-6,8-二氧杂-3,11...  2-二乙氧基硫代膦酰硫基乙酰胺