Online Database of Chemicals from Around the World

N-(3-Hydroxy-2-Methylpropanoyl)Glycine
[CAS# 256928-69-5]

Suppliers
Atomax Chemicals Co., Ltd. China Inquire  
+86 13417589054//+86 13424336463
info@atomaxchem.com,atomax.chemicals@gmail.com,
QQ Chat
Chemical manufacturer
Identification
Name N-(3-Hydroxy-2-Methylpropanoyl)Glycine
Synonyms 2-(3-hydroxy-2-methylpropanamido)acetic acid
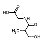
Molecular Structure CAS#: 256928-69-5, N-(3-Hydroxy-2-Methylpropanoyl)Glycine
Molecular Formula C6H11NO4
Molecular Weight 161.16
CAS Registry Number 256928-69-5
SMILES O=C(NCC(O)=O)C(C)CO
InChI 1S/C6H11NO4/c1-4(3-8)6(11)7-2-5(9)10/h4,8H,2-3H2,1H3,(H,7,11)(H,9,10)
InChIKey QJCFYDHPKKEQMT-UHFFFAOYSA-N
Properties
Density 1.279g/cm3 (Cal.)
Boiling point 461.743°C at 760 mmHg (Cal.)
Flash point 233.054°C (Cal.)
Refractive index 1.491 (Cal.)
Market Analysis Reports
List of Reports Available for N-(3-Hydroxy-2-Methylpropanoyl)Glycine
Related Products
7-Fluoro-1,2,3,4-Tetrahydropyrazino[1,2-...  9-Fluoro-1,2,3,4-Tetrahydropyrazino[1,2-...  Hexahydropyrrolo[2,1-b][1,3]Oxazole-5-Ca...  2-Methyl-2-Propanyl 4-Cyano-4-(4-Fluorop...  2-(Cyanomethyl)-5-Fluorobenzonitrile  N-Hydroxybicyclo[2.2.1]Heptane-1-Carboxa...  (4E)-2-Amino-4-Octadecene-1,3-Diol  (2R)-Amino(3-Chlorophenyl)Acetic Acid  3-(1H-Pyrazol-1-Yl)Benzonitrile  3-(1H-Imidazol-1-Yl)Benzonitrile  2-(1H-Indol-1-Yl)Benzonitrile  1-[4-(1H-Pyrazol-1-Yl)Phenyl]Ethanone  1-[4-(1H-Indol-1-Yl)Phenyl]Ethanone  1-[4-(1H-Benzimidazol-1-Yl)Phenyl]Ethano...  2-(1H-Pyrazol-1-Yl)Pyridine