Online Database of Chemicals from Around the World

Dibutyl-(Dibutyl-Hydroxy-Stannyl)Oxy-Isothiocyanato-Stannane
[CAS# 27515-11-3]

Suppliers
Santa Cruz Biotechnology, Inc. USA Inquire  
+1 (831) 457-3800
scbt@scbt.com
Chemical manufacturer
Sigma-Aldrich, Inc. USA Inquire  
+86 (21) 6141-5566 / 800-819-3336
ordercn@sial.com,
Chemical manufacturer since 1992
Identification
Name Dibutyl-(Dibutyl-Hydroxy-Stannyl)Oxy-Isothiocyanato-Stannane
Synonyms 1-Hydroxy-3-(isothiocyanato)-1,1,3,3-tetrabutyldistannoxane; 674214_ALDRICH
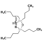
Molecular Structure CAS#: 27515-11-3, Dibutyl-(Dibutyl-Hydroxy-Stannyl)Oxy-Isothiocyanato-Stannane
Molecular Formula C17H37NO2SSn2
Molecular Weight 556.97
CAS Registry Number 27515-11-3
SMILES S=C=N\[Sn](O[Sn](O)(CCCC)CCCC)(CCCC)CCCC
InChI 1S/4C4H9.CNS.H2O.O.2Sn/c4*1-3-4-2;2-1-3;;;;/h4*1,3-4H2,2H3;;1H2;;;/q;;;;-1;;;2*+1/p-1
InChIKey VGXGQBKDGBKKRA-UHFFFAOYSA-M
Properties
Boiling point 444.719°C at 760 mmHg (Cal.)
Flash point 222.758°C (Cal.)
Refractive index (Cal.)
Safety Data
SDS Available
Market Analysis Reports
List of Reports Available for Dibutyl-(Dibutyl-Hydroxy-Stannyl)Oxy-Isothiocyanato-Stannane
Related Products
2-(2-Thienyl)Furan  5-Ethoxypyrimidine  5-(Ethylamino)-1,3-Dihydro-2H-Imidazo[4,...  4,5-Bis[(Diethylamino)Methyl]-3,6-Dimeth...  4,5-Bis[(Dimethylamino)Methyl]-3,6-Dimet...  3-Amino-2-Naphthonitrile  (3R,4R,5R)-5-(Hydroxymethyl)-3,4-Piperid...  (3R,4S,5S)-5-(Hydroxymethyl)-3,4-Piperid...  (3R,4S,5R)-5-(Hydroxymethyl)-3,4-Piperid...  3-Acetyl-2-Oxocyclohexanecarbaldehyde  (1R,2R)-2-Ethynylcyclohexanecarbaldehyde  [(1R,2R)-2-Ethynylcyclohexyl]Methanol  Tert-Butyl N-[(1S)-1-(Hydroxymethyl)Prop...  [(3R,4R)-4-Hydroxy-1-Pentyn-3-Yl](2-Meth...  (2R,3R,4R,5R,6S)-2-[[(2R,3S,4S,5R,6S)-6-...