Online Database of Chemicals from Around the World

4-羟基苯甲酰基-辅酶 A
[CAS# 27718-41-8]

供应商
CAS#: 27718-41-8
产品: 4-羟基苯甲酰基-辅酶 A
暂时没有厂家供应该产品。
基本信息
产品名称 4-羟基苯甲酰基-辅酶 A
英文名 4-Hydroxybenzoyl-Coenzyme A
别名 S-[2-[3-[[(2R)-4-[[[(2R,3S,4R,5R)-5-(6-Aminopurin-9-Yl)-4-Hydroxy-3-Phosphonooxy-Tetrahydrofuran-2-Yl]Methoxy-Hydroxy-Phosphoryl]Oxy-Hydroxy-Phosphoryl]Oxy-2-Hydroxy-3,3-Dimethyl-Butanoyl]Amino]Propanoylamino]Ethyl] 4-Hydroxybenzenecarbothioate; 4-Hydroxybenzenecarbothioic Acid S-[2-[[3-[[(2R)-4-[[[(2R,3S,4R,5R)-5-(6-Amino-9-Purinyl)-4-Hydroxy-3-Phosphonooxy-2-Tetrahydrofuranyl]Methoxy-Hydroxyphosphoryl]Oxy-Hydroxyphosphoryl]Oxy-2-Hydroxy-3,3-Dimethyl-1-Oxobutyl]Amino]-1-Oxopropyl]Amino]Ethyl] Ester; 4-Hydroxythiobenzoic Acid S-[2-[3-[[(2R)-4-[[[(2R,3S,4R,5R)-5-(6-Aminopurin-9-Yl)-4-Hydroxy-3-Phosphonooxy-Tetrahydrofuran-2-Yl]Methoxy-Hydroxy-Phosphoryl]Oxy-Hydroxy-Phosphoryl]Oxy-2-Hydroxy-3,3-Dimethyl-Butanoyl]Amino]Propanoylamino]Ethyl] Ester
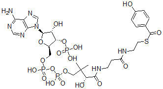
分子结构 CAS 登录号:27718-41-8, 4-羟基苯甲酰基-辅酶 A
分子式 C28H40N7O18P3S
分子量 887.64
CAS 登录号 27718-41-8
分子行输入简码 SMILES [C@H]1(O[C@@H]([C@@H](O[P](=O)(O)O)[C@H]1O)CO[P](O[P](OCC([C@@H](O)C(=O)NCCC(=O)NCCSC(=O)C2=CC=C(O)C=C2)(C)C)(=O)O)(=O)O)[N]3C4=C(N=C3)C(=NC=N4)N
国际化学标识码 InChI 1S/C28H40N7O18P3S/c1-28(2,22(39)25(40)31-8-7-18(37)30-9-10-57-27(41)15-3-5-16(36)6-4-15)12-50-56(47,48)53-55(45,46)49-11-17-21(52-54(42,43)44)20(38)26(51-17)35-14-34-19-23(29)32-13-33-24(19)35/h3-6,13-14,17,20-22,26,36,38-39H,7-12H2,1-2H3,(H,30,37)(H,31,40)(H,45,46)(H,47,48)(H2,29,32,33)(H2,42,43,44)/t17-,20-,21-,22+,26-/m1/s1
国际化学标识检索码 InChIKey LTVXPVBFJBTNIJ-TYHXJLICSA-N
物理化学性质
密度 1.869g/cm3 (计算值)
市场分析报告
请浏览4-羟基苯甲酰基-辅酶 A市场分析报告总目录
相关产品
1,11-二甲基-5,7-二氢二苯并[c,e]硫杂...  2,2-二苯基-2-乙氧基乙酸 2-[苄基(甲基)...  二苯基乙氧基乙酸 2-(二甲基氨基)丙基酯  N-对甲苯磺酰基邻苯二甲酰亚胺  螺[4.4]壬烷-1,6-二酮  西曲酸苄酯盐酸盐  2,2'-亚甲基二[4-(1,1,3,3-四甲基丁...  [6R-[6alpha,7beta(R*)]]-7...  3,3'5,5'-四氯联苯醌  2'-脱氧鸟苷酰-(5'-3')-5'-胸苷酸均聚...  1,8-二氨基溴-4,5-二羟基蒽醌  2,6-二叔-丁基-4-(吗啉-4-基甲基)苯酚  1-甲氧基-3-亚甲基环己烯  非那夫酸  米克昔定