基本信息
| 产品名称 |
2-(2,4,5-三氯苯基)丙酸 2-丁氧基丙醇酯 |
| 英文名 |
2-(2,4,5-Trichlorophenyl)Propionic Acid 2-Butoxypropanol Ester |
| 别名 |
2-(2,4,5-Trichlorophenoxy)Propanoic Acid 2-Butoxypropyl Ester; 2-(2,4,5-Trichlorophenoxy)Propionic Acid 2-Butoxypropyl Ester; Propanoic Acid, 2-(2,4,5-Trichlorophenoxy)-, Ester With 1(Or 2)-Butoxypropanol |
|
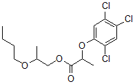
| 分子结构 |
 |
| 分子式 |
C16H21Cl3O4 |
| 分子量 |
383.70 |
| CAS 登录号 |
28903-26-6 |
| 分子行输入简码 SMILES |
C1=C(C(=CC(=C1Cl)Cl)OC(C(=O)OCC(OCCCC)C)C)Cl |
| 国际化学标识码 InChI |
1S/C16H21Cl3O4/c1-4-5-6-21-10(2)9-22-16(20)11(3)23-15-8-13(18)12(17)7-14(15)19/h7-8,10-11H,4-6,9H2,1-3H3 |
| 国际化学标识检索码 InChIKey |
GGBJOVSUUMMPCG-UHFFFAOYSA-N |
|