Online Database of Chemicals from Around the World

Sporidesmolide I
[CAS# 2900-38-1]

Suppliers
CAS#: 2900-38-1
Product: Sporidesmolide I
No suppilers available for the product.
Identification
Name Sporidesmolide I
Synonyms 3,12-Diisobutyl-6,9,15-Triisopropyl-4,19-Dimethyl-1,10-Dioxa-4,7,13,16-Tetrazacycloicosane-2,5,8,11,14,17-Hexone; 3,12-Diisobutyl-6,9,15-Triisopropyl-4,19-Dimethyl-1,10-Dioxa-4,7,13,16-Tetrazacycloicosane-2,5,8,11,14,17-Triquinone; Nci60_000519
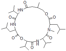
Molecular Structure CAS#: 2900-38-1, Sporidesmolide I
Molecular Formula C33H58N4O8
Molecular Weight 638.84
CAS Registry Number 2900-38-1
SMILES C(C1N(C(=O)C(NC(=O)C(OC(=O)C(NC(=O)C(NC(=O)CC(COC1=O)C)C(C)C)CC(C)C)C(C)C)C(C)C)C)C(C)C
InChI 1S/C33H58N4O8/c1-17(2)13-23-32(42)45-28(21(9)10)30(40)36-27(20(7)8)31(41)37(12)24(14-18(3)4)33(43)44-16-22(11)15-25(38)35-26(19(5)6)29(39)34-23/h17-24,26-28H,13-16H2,1-12H3,(H,34,39)(H,35,38)(H,36,40)
InChIKey CWCLCJUWNJYVCD-UHFFFAOYSA-N
Properties
Density 1.009g/cm3 (Cal.)
Boiling point 894.363°C at 760 mmHg (Cal.)
Flash point 494.693°C (Cal.)
Safety Data
SDS Available
Market Analysis Reports
List of Reports Available for Sporidesmolide I
Related Products
6-Methoxy-2-Hexanone  4-Methoxybutyric Acid  4-Butoxybutyric Acid Methyl Ester  Benzoic Acid 7-Nitro-8-Quinolyl Ester  m-Toluic Acid 7-Nitro-8-Quinolyl Ester  o-Toluic Acid 7-Nitro-8-Quinolyl Ester  7-Nitro-8-Quinolyl 4-Chlorobenzoate  7-Nitro-8-Quinolyl 3-Chlorobenzoate  7-Nitro-8-Quinolyl 4-Bromobenzoate  7-Nitro-8-Quinolyl 3-Bromobenzoate  7-Nitro-8-Quinolinol 2-Iodobenzoate  7-Nitro-8-Quinolyl 3,4-Dichlorobenzoate  7-Nitro-8-Quinolyl 4-Chloro-2-Nitrobenzo...  4-Nitrobenzoic Acid 7-Nitro-8-Quinolyl E...  2-Nitrobenzoic Acid 7-Nitro-8-Quinolyl E...