基本信息
| 产品名称 |
二月桂酰磷脂酰丝氨酸 |
| 英文名 |
Dilauroylphosphatidylserine |
| 别名 |
(2S)-2-Amino-3-[2,3-Di(Dodecanoyloxy)Propoxy-Hydroxy-Phosphoryl]Oxy-Propanoic Acid; (2S)-2-Amino-3-[2,3-Bis(1-Oxododecoxy)Propoxy-Hydroxyphosphoryl]Oxypropanoic Acid; (2S)-2-Amino-3-(2,3-Dilauroyloxypropoxy-Hydroxy-Phosphoryl)Oxy-Propionic Acid |
|
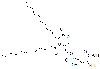
| 分子结构 |
 |
| 分子式 |
C30H58NO10P |
| 分子量 |
623.76 |
| CAS 登录号 |
2954-46-3 |
| 分子行输入简码 SMILES |
[C@H](N)(CO[P](OCC(OC(=O)CCCCCCCCCCC)COC(=O)CCCCCCCCCCC)(=O)O)C(=O)O |
| 国际化学标识码 InChI |
1S/C30H58NO10P/c1-3-5-7-9-11-13-15-17-19-21-28(32)38-23-26(24-39-42(36,37)40-25-27(31)30(34)35)41-29(33)22-20-18-16-14-12-10-8-6-4-2/h26-27H,3-25,31H2,1-2H3,(H,34,35)(H,36,37)/t26?,27-/m0/s1 |
| 国际化学标识检索码 InChIKey |
RHODCGQMKYNKED-GEVKEYJPSA-N |
|