Online Database of Chemicals from Around the World

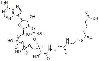
5-[2-[3-[[(2R)-4-[[[(2R,3S,4R,5R)-5-(6-氨基嘌呤-9-基)-4-羟基-3-膦酰氧基四氢呋喃-2-基]甲氧基-羟基磷酰]氧基-羟基磷酰]氧基-2-羟基-3,3-二甲基丁酰基]氨基]丙酰氨基]乙硫基]-5-氧代戊酸
[CAS# 3131-84-8]

供应商
CAS#: 3131-84-8
产品: 5-[2-[3-[[(2R)-4-[[[(2R,3S,4R,5R)-5-(6-氨基嘌呤-9-基)-4-羟基-3-膦酰氧基四氢呋喃-2-基]甲氧基-羟基磷酰]氧基-羟基磷酰]氧基-2-羟基-3,3-二甲基丁酰基]氨基]丙酰氨基]乙硫基]-5-氧代戊酸
暂时没有厂家供应该产品。
基本信息
产品名称 5-[2-[3-[[(2R)-4-[[[(2R,3S,4R,5R)-5-(6-氨基嘌呤-9-基)-4-羟基-3-膦酰氧基四氢呋喃-2-基]甲氧基-羟基磷酰]氧基-羟基磷酰]氧基-2-羟基-3,3-二甲基丁酰基]氨基]丙酰氨基]乙硫基]-5-氧代戊酸
英文名 5-[2-[3-[[(2R)-4-[[[(2R,3S,4R,5R)-5-(6-Aminopurin-9-Yl)-4-Hydroxy-3-Phosphonooxyoxolan-2-Yl]Methoxy-Hydroxyphosphoryl]Oxy-Hydroxyphosphoryl]Oxy-2-Hydroxy-3,3-Dimethylbutanoyl]Amino]Propanoylamino]Ethylsulfanyl]-5-Oxopentanoic Acid
别名 5-[2-[3-[[(2R)-4-[[[(2R,3S,4R,5R)-5-(6-Aminopurin-9-Yl)-4-Hydroxy-3-Phosphonooxy-Tetrahydrofuran-2-Yl]Methoxy-Hydroxy-Phosphoryl]Oxy-Hydroxy-Phosphoryl]Oxy-2-Hydroxy-3,3-Dimethyl-Butanoyl]Amino]Propanoylamino]Ethylsulfanyl]-5-Oxo-Pentanoic Acid; 5-[2-[[3-[[(2R)-4-[[[(2R,3S,4R,5R)-5-(6-Amino-9-Purinyl)-4-Hydroxy-3-Phosphonooxy-2-Tetrahydrofuranyl]Methoxy-Hydroxyphosphoryl]Oxy-Hydroxyphosphoryl]Oxy-2-Hydroxy-3,3-Dimethyl-1-Oxobutyl]Amino]-1-Oxopropyl]Amino]Ethylthio]-5-Oxopentanoic Acid; 5-[2-[3-[[(2R)-4-[[[(2R,3S,4R,5R)-5-(6-Aminopurin-9-Yl)-4-Hydroxy-3-Phosphonooxy-Tetrahydrofuran-2-Yl]Methoxy-Hydroxy-Phosphoryl]Oxy-Hydroxy-Phosphoryl]Oxy-2-Hydroxy-3,3-Dimethyl-Butanoyl]Amino]Propanoylamino]Ethylthio]-5-Keto-Valeric Acid
分子结构 CAS 登录号:3131-84-8, 5-[2-[3-[[(2R)-4-[[[(2R,3S,4R,5R)-5-(6-氨基嘌呤-9-基)-4-羟基-3-膦酰氧基四氢呋喃-2-基]甲氧基-羟基磷酰]氧基-羟基磷酰]氧基-2-羟基-3,3-二甲基丁酰基]氨基]丙酰氨基]乙硫基]-5-氧代戊酸
分子式 C26H42N7O19P3S
分子量 881.63
CAS 登录号 3131-84-8
分子行输入简码 SMILES [C@H]1(O[C@@H]([C@@H](O[P](=O)(O)O)[C@H]1O)CO[P](O[P](OCC([C@@H](O)C(=O)NCCC(=O)NCCSC(=O)CCCC(=O)O)(C)C)(=O)O)(=O)O)[N]2C3=C(N=C2)C(=NC=N3)N
国际化学标识码 InChI 1S/C26H42N7O19P3S/c1-26(2,21(39)24(40)29-7-6-15(34)28-8-9-56-17(37)5-3-4-16(35)36)11-49-55(46,47)52-54(44,45)48-10-14-20(51-53(41,42)43)19(38)25(50-14)33-13-32-18-22(27)30-12-31-23(18)33/h12-14,19-21,25,38-39H,3-11H2,1-2H3,(H,28,34)(H,29,40)(H,35,36)(H,44,45)(H,46,47)(H2,27,30,31)(H2,41,42,43)/t14-,19-,20-,21+,25-/m1/s1
国际化学标识检索码 InChIKey SYKWLIJQEHRDNH-CKRMAKSASA-N
物理化学性质
密度 1.881g/cm3 (计算值)
市场分析报告
请浏览5-[2-[3-[[(2R)-4-[[[(2R,3S,4R,5R)-5-(6-氨基嘌呤-9-基)-4-羟基-3-膦酰氧基四氢呋喃-2-基]甲氧基-羟基磷酰]氧基-羟基磷酰]氧基-2-羟基-3,3-二甲基丁酰基]氨基]丙酰氨基]乙硫基]-5-氧代戊酸市场分析报告总目录
相关产品
2-(1-氯乙烯基)环氧乙烷  2-甲氧基芴-9-酮  二(苯基)碘鎓四氟硼酸盐  3-氮杂螺[5.5]十一烷-3-基-二甲基氯化铵  S-丙基氮杂环庚烷-1-硫代甲酸酯  S-丙-2-基氮杂环庚烷-1-硫代甲酸酯  1-氧胂基-4-硝基苯  1-氧胂基-4-氯苯  2-氨基-N-(2-羟基乙基)-1,3-苯并噻唑-...  2,6-二叔丁基-4-(双十八烷氧基磷酰甲基)苯酚  6,11-二氧代-N-苯基萘并[3,2-b]吲嗪-...  二苯并[fg,ij]萘并[1,2,3,4-rst]...  2-[(4R)-4-(2-甲氧基苯基)-2,2-二...  (8S,9S,10R,13S,14S,16R,17...  1,12-二甲基苯并[a]蒽