Online Database of Chemicals from Around the World

辅酶A二硫醚
[CAS# 31664-36-5]

供应商
CAS#: 31664-36-5
产品: 辅酶A二硫醚
暂时没有厂家供应该产品。
基本信息
产品名称 辅酶A二硫醚
英文名 Coenzyme A disulfide
别名 [[(3R)-4-[[3-[2-[2-[3-[[(2R)-4-[[[(2R,3S,4R,5R)-5-(6-Aminopurin-9-Yl)-4-Hydroxy-3-Phosphonooxy-Tetrahydrofuran-2-Yl]Methoxy-Hydroxy-Phosphoryl]Oxy-Hydroxy-Phosphoryl]Oxy-2-Hydroxy-3,3-Dimethyl-Butanoyl]Amino]Propanoylamino]Ethyldisulfanyl]Ethylamino]-3-Oxo-Propyl]Amino]-3-Hydroxy-2,2-Dimethyl-4-Oxo-Butoxy]-Hydroxy-Phosphoryl] [(2R,3S,4R,5R)-5-(6-Aminopurin-9-Yl)-4-Hydroxy-3-Phosphonooxy-Tetrahydrofuran-2-Yl]Methyl Hydrogen Phosphate; [[(3R)-4-[[3-[2-[2-[[3-[[(2R)-4-[[[(2R,3S,4R,5R)-5-(6-Amino-9-Purinyl)-4-Hydroxy-3-Phosphonooxy-2-Tetrahydrofuranyl]Methoxy-Hydroxyphosphoryl]Oxy-Hydroxyphosphoryl]Oxy-2-Hydroxy-3,3-Dimethyl-1-Oxobutyl]Amino]-1-Oxopropyl]Amino]Ethyldisulfanyl]Ethylamino]-3-Oxopropyl]Amino]-3-Hydroxy-2,2-Dimethyl-4-Oxobutoxy]-Hydroxyphosphoryl] [(2R,3S,4R,5R)-5-(6-Amino-9-Purinyl)-4-Hydroxy-3-Phosphonooxy-2-Tetrahydrofuranyl]Methyl Hydrogen Phosphate; [[(3R)-4-[[3-[2-[2-[3-[[(2R)-4-[[[(2R,3S,4R,5R)-5-(6-Aminopurin-9-Yl)-4-Hydroxy-3-Phosphonooxy-Tetrahydrofuran-2-Yl]Methoxy-Hydroxy-Phosphoryl]Oxy-Hydroxy-Phosphoryl]Oxy-2-Hydroxy-3,3-Dimethyl-Butanoyl]Amino]Propanoylamino]Ethyldisulfanyl]Ethylamino]-3-Keto-Propyl]Amino]-3-Hydroxy-4-Keto-2,2-Dimethyl-Butoxy]-Hydroxy-Phosphoryl] [(2R,3S,4R,5R)-5-(6-Aminopurin-9-Yl)-4-Hydroxy-3-Phosphonooxy-Tetrahydrofuran-2-Yl]Methyl Hydrogen Phosphate
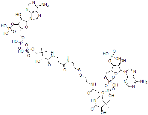
分子结构 CAS 登录号:31664-36-5, 辅酶A二硫醚
分子式 C42H70N14O32P6S2
分子量 1533.05
CAS 登录号 31664-36-5
分子行输入简码 SMILES [C@H]1(O[C@@H]([C@@H](O[P](=O)(O)O)[C@H]1O)CO[P](O[P](OCC([C@@H](O)C(=O)NCCC(=O)NCCSSCCNC(=O)CCNC(=O)[C@H](O)C(CO[P](O[P](OC[C@H]4O[C@@H]([N]2C3=C(N=C2)C(=NC=N3)N)[C@H](O)[C@@H]4O[P](=O)(O)O)(=O)O)(=O)O)(C)C)(C)C)(=O)O)(=O)O)[N]5C6=C(N=C5)C(=NC=N6)N
国际化学标识码 InChI 1S/C42H70N14O32P6S2/c1-41(2,15-81-93(75,76)87-91(71,72)79-13-21-29(85-89(65,66)67)27(59)39(83-21)55-19-53-25-33(43)49-17-51-35(25)55)31(61)37(63)47-7-5-23(57)45-9-11-95-96-12-10-46-24(58)6-8-48-38(64)32(62)42(3,4)16-82-94(77,78)88-92(73,74)80-14-22-30(86-90(68,69)70)28(60)40(84-22)56-20-54-26-34(44)50-18-52-36(26)56/h17-22,27-32,39-40,59-62H,5-16H2,1-4H3,(H,45,57)(H,46,58)(H,47,63)(H,48,64)(H,71,72)(H,73,74)(H,75,76)(H,77,78)(H2,43,49,51)(H2,44,50,52)(H2,65,66,67)(H2,68,69,70)/t21-,22-,27-,28-,29-,30-,31+,32+,39-,40-/m1/s1
国际化学标识检索码 InChIKey YAISMNQCMHVVLO-ODFVJXNFSA-N
物理化学性质
密度 2.023g/cm3 (计算值)
市场分析报告
请浏览辅酶A二硫醚市场分析报告总目录
相关产品
2-乙基-2-羟基-N'-(2-甲基苯基)丁烷酰肼  N'-(4-溴苯基)-2-乙基-2-羟基丁烷酰肼  2-乙基-2-羟基-N'-(3-甲基苯基)丁烷酰肼  1-羟基-2-壬基喹啉-4-酮  地高辛二乙酸盐  苯乙烯,1,3-丁二烯,乙烯叉氯化物聚合物  苯乙烯,丁基2-丙烯酸酯,乙基2-丙烯酸酯,2-甲...  N-[6-(2,3-二甲基丁亚基氨基)己基]-2,...  [6-[6-[[(11Z,13E)-4-乙酰氧基-...  (2S,3R,4S,5R)-3,4,5-三羟基-6...  (3E)-3-[[4-[(2E)-2-[8-(苯甲...  钠(2S)-N-(2,4-二甲氧基苯基)-2-[4...  1-环己基-3-[4-(1-羟基乙基)苯基]磺酰基...  N'-(6-氯-2-氟吖啶-9-基)-N,N-二乙...  10-(3-二甲基氨基丙基)吩噻嗪-3-醇