Online Database of Chemicals from Around the World

4-Amino-2-[(2-Amino-3-Hydroxybutanoyl)Amino]-N-[6,9,18-Tris(2-Aminoethyl)-3-(1-Hydroxyethyl)-12,15-Bis(2-Methylpropyl)-2,5,8,11,14,17,20-Heptaoxo-1,4,7,10,13,16,19-Heptazacyclotricos-21-Yl]Butanamide
[CAS# 32530-94-2]

Suppliers
CAS#: 32530-94-2
Product: 4-Amino-2-[(2-Amino-3-Hydroxybutanoyl)Amino]-N-[6,9,18-Tris(2-Aminoethyl)-3-(1-Hydroxyethyl)-12,15-Bis(2-Methylpropyl)-2,5,8,11,14,17,20-Heptaoxo-1,4,7,10,13,16,19-Heptazacyclotricos-21-Yl]Butanamide
No suppilers available for the product.
Identification
Name 4-Amino-2-[(2-Amino-3-Hydroxybutanoyl)Amino]-N-[6,9,18-Tris(2-Aminoethyl)-3-(1-Hydroxyethyl)-12,15-Bis(2-Methylpropyl)-2,5,8,11,14,17,20-Heptaoxo-1,4,7,10,13,16,19-Heptazacyclotricos-21-Yl]Butanamide
Synonyms 4-Amino-2-[(2-Amino-3-Hydroxy-Butanoyl)Amino]-N-[6,9,18-Tris(2-Aminoethyl)-3-(1-Hydroxyethyl)-12,15-Diisobutyl-2,5,8,11,14,17,20-Heptaoxo-1,4,7,10,13,16,19-Heptazacyclotricos-21-Yl]Butanamide; 4-Amino-2-[(2-Amino-3-Hydroxy-1-Oxobutyl)Amino]-N-[6,9,18-Tris(2-Aminoethyl)-3-(1-Hydroxyethyl)-12,15-Diisobutyl-2,5,8,11,14,17,20-Heptaoxo-1,4,7,10,13,16,19-Heptazacyclotricos-21-Yl]Butanamide; 4-Amino-2-[(2-Amino-3-Hydroxy-Butanoyl)Amino]-N-[6,9,18-Tris(2-Aminoethyl)-3-(1-Hydroxyethyl)-12,15-Diisobutyl-2,5,8,11,14,17,20-Heptaketo-1,4,7,10,13,16,19-Heptazacyclotricos-21-Yl]Butyramide
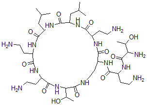
Molecular Structure CAS#: 32530-94-2, 4-Amino-2-[(2-Amino-3-Hydroxybutanoyl)Amino]-N-[6,9,18-Tris(2-Aminoethyl)-3-(1-Hydroxyethyl)-12,15-Bis(2-Methylpropyl)-2,5,8,11,14,17,20-Heptaoxo-1,4,7,10,13,16,19-Heptazacyclotricos-21-Yl]Butanamide
Molecular Formula C40H76N14O11
Molecular Weight 929.13
CAS Registry Number 32530-94-2
SMILES C(C1NC(=O)C(NC(=O)C(NC(=O)C(NC(=O)C(N)C(O)C)CCN)CCNC(=O)C(NC(=O)C(NC(=O)C(NC(=O)C(NC1=O)CC(C)C)CCN)CCN)C(O)C)CCN)C(C)C
InChI 1S/C40H76N14O11/c1-19(2)17-28-37(62)49-23(7-12-41)32(57)48-26(10-15-44)36(61)54-31(22(6)56)40(65)46-16-11-27(50-33(58)25(9-14-43)51-39(64)30(45)21(5)55)35(60)47-24(8-13-42)34(59)52-29(18-20(3)4)38(63)53-28/h19-31,55-56H,7-18,41-45H2,1-6H3,(H,46,65)(H,47,60)(H,48,57)(H,49,62)(H,50,58)(H,51,64)(H,52,59)(H,53,63)(H,54,61)
InChIKey WNPBEUWOUYCJJR-UHFFFAOYSA-N
Properties
Density 1.296g/cm3 (Cal.)
Boiling point 1416.577°C at 760 mmHg (Cal.)
Flash point 810.516°C (Cal.)
Market Analysis Reports
List of Reports Available for 4-Amino-2-[(2-Amino-3-Hydroxybutanoyl)Amino]-N-[6,9,18-Tris(2-Aminoethyl)-3-(1-Hydroxyethyl)-12,15-Bis(2-Methylpropyl)-2,5,8,11,14,17,20-Heptaoxo-1,4,7,10,13,16,19-Heptazacyclotricos-21-Yl]Butanamide
Related Products
N-(1,3-Dimethyl-2,4-Dioxopyrimidin-5-Yl)...  Methyl [2-(6-Methylheptyl)-4,6-Dinitroph...  Laudexium metilsulfate  (4Z)-4-(4-Methyl-1-Cyclohex-3-Enylidene)...  Octahydro-2,5,5-trimethyl-2H-2,4a-ethano...  (1-Dimethylamino-1-Phosphonoethyl)Phosph...  (1-Amino-1-Phosphonobutyl)Phosphonic Aci...  (Methylamino-Phosphonomethyl)Phosphonic ...  (Morpholin-4-Yl-Phosphonomethyl)Phosphon...  (4-Methylsulfinylphenoxy)-Dipropoxy-Sulf...  (4-Nitrophenyl) Dipropan-2-Yl Phosphate  Methyl 2-[(2,6-Dichloro-3-Methylphenyl)A...  5,10-Dihydroindeno[3,2-b]Indole  (1-Methylpyrrolidin-3-Yl) N-(2,6-Dimethy...  7-(2-Diethylaminoethoxy)Chromen-2-One