基本信息
| 产品名称 |
2-丙烯酸与1,1-二氯乙烯,甲基2-丙烯酸酯和2-丙烯腈的聚合物 |
| 英文名 |
2-Propenoic acid, polymer with 1,1-dichloroethene, methyl 2-propenoate and 2-propenenitrile |
| 别名 |
Acrylic Acid; 1,1-Dichloroethylene; Methyl Prop-2-Enoate; Prop-2-Enenitrile; Acrylic Acid; 1,1-Dichloroethylene |
|
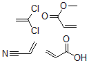
| 分子结构 |
 |
| 分子式 |
C12H15Cl2NO4 |
| 分子量 |
308.16 |
| CAS 登录号 |
34755-29-8 |
| 分子行输入简码 SMILES |
C(#N)C=C.C(Cl)(Cl)=C.COC(=O)C=C.O=C(O)C=C |
| 国际化学标识码 InChI |
1S/C4H6O2.C3H3N.C3H4O2.C2H2Cl2/c1-3-4(5)6-2;1-2-3-4;1-2-3(4)5;1-2(3)4/h3H,1H2,2H3;2H,1H2;2H,1H2,(H,4,5);1H2 |
| 国际化学标识检索码 InChIKey |
CQGCKVZLBIEHET-UHFFFAOYSA-N |
|