Online Database of Chemicals from Around the World

6-(2-巯基-1-甲基-L-色氨酸)-鬼笔环肽
[CAS# 35167-13-6]

供应商
BOC Sciences 美国 询价快递  
+1 (631) 485-4226
info@bocsci.com
Skype 聊天
化学品供销商
chemBlink 集群供应商(2012 年起)
基本信息
产品名称 6-(2-巯基-1-甲基-L-色氨酸)-鬼笔环肽
英文名 6-(2-Mercapto-1-Methyl-L-Tryptophan)-Phalloidin
别名 N(Sup Ind)-Methylphalloidin; N-Methylphalloidin
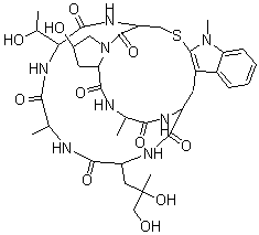
分子结构 CAS 登录号:35167-13-6, 6-(2-巯基-1-甲基-L-色氨酸)-鬼笔环肽
分子式 C36H50N8O11S
分子量 802.90
CAS 登录号 35167-13-6
分子行输入简码 SMILES C5=C4C3=C(SCC1NC(=O)C(NC(=O)C(NC(=O)C(NC(=O)C(NC(=O)C(NC(=O)C2N(C1=O)CC(O)C2)C)C3)CC(O)(CO)C)C)C(O)C)[N](C4=CC=C5)C
国际化学标识码 InChI 1S/C36H50N8O11S/c1-16-28(48)39-22-11-21-20-8-6-7-9-25(20)43(5)35(21)56-14-24(34(54)44-13-19(47)10-26(44)32(52)38-16)41-33(53)27(18(3)46)42-29(49)17(2)37-31(51)23(40-30(22)50)12-36(4,55)15-45/h6-9,16-19,22-24,26-27,45-47,55H,10-15H2,1-5H3,(H,37,51)(H,38,52)(H,39,48)(H,40,50)(H,41,53)(H,42,49)
国际化学标识检索码 InChIKey XHUXYGHEHCWWIN-UHFFFAOYSA-N
物理化学性质
密度 1.596g/cm3 (计算值)
沸点 1356.083°C at 760 mmHg (计算值)
闪点 773.931°C (计算值)
市场分析报告
请浏览6-(2-巯基-1-甲基-L-色氨酸)-鬼笔环肽市场分析报告总目录
相关产品
1,4-二(溴甲基)-2,5-二甲基苯  尿苷 3'-单磷酸酯  3,3'-(2,4-吡啶二基)二(5,6-二苯基-...  3-(2-氯苯基)-3-羟基-3-苯基丙腈  4-氯-2,3,5,6-四氟苄醇  2,2'-亚氨基二乙醇与甲基环氧乙烷的聚合物  1,3-二羟基-5-十九烷基苯  2-(4-溴-苯基)-6-甲氧基-喹啉-4-羧酸  4-(3-戊基)吡啶  3-乙基-3-二十四烷醇  1,4-环氧-1,2,3,4-四氢萘  7-氨基-S-三唑并(1,5-a)嘧啶-5(4H)...  7-羟基-1,2,3,4-四氢异喹啉-3-羧酸  1,2,3,4-四氢-3-异喹啉羧酸盐酸盐  5-氯-4-羟基-8-甲基喹啉-3-羧酸乙酯