Online Database of Chemicals from Around the World

5-[2-[3-[[(2R)-4-[[[(2R,3S,4R,5R)-5-(6-Aminopurin-9-Yl)-4-Hydroxy-3-Phosphonooxyoxolan-2-Yl]Methoxy-Hydroxyphosphoryl]Oxy-Hydroxyphosphoryl]Oxy-2-Hydroxy-3,3-Dimethylbutanoyl]Amino]Propanoylamino]Ethylsulfanyl]-3-Hydroxy-5-Oxopentanoic Acid
[CAS# 35192-10-0]

Suppliers
CAS#: 35192-10-0
Product: 5-[2-[3-[[(2R)-4-[[[(2R,3S,4R,5R)-5-(6-Aminopurin-9-Yl)-4-Hydroxy-3-Phosphonooxyoxolan-2-Yl]Methoxy-Hydroxyphosphoryl]Oxy-Hydroxyphosphoryl]Oxy-2-Hydroxy-3,3-Dimethylbutanoyl]Amino]Propanoylamino]Ethylsulfanyl]-3-Hydroxy-5-Oxopentanoic Acid
No suppilers available for the product.
Identification
Name 5-[2-[3-[[(2R)-4-[[[(2R,3S,4R,5R)-5-(6-Aminopurin-9-Yl)-4-Hydroxy-3-Phosphonooxyoxolan-2-Yl]Methoxy-Hydroxyphosphoryl]Oxy-Hydroxyphosphoryl]Oxy-2-Hydroxy-3,3-Dimethylbutanoyl]Amino]Propanoylamino]Ethylsulfanyl]-3-Hydroxy-5-Oxopentanoic Acid
Synonyms 5-[2-[3-[[(2R)-4-[[[(2R,3S,4R,5R)-5-(6-Aminopurin-9-Yl)-4-Hydroxy-3-Phosphonooxy-Tetrahydrofuran-2-Yl]Methoxy-Hydroxy-Phosphoryl]Oxy-Hydroxy-Phosphoryl]Oxy-2-Hydroxy-3,3-Dimethyl-Butanoyl]Amino]Propanoylamino]Ethylsulfanyl]-3-Hydroxy-5-Oxo-Pentanoic Acid; 5-[2-[[3-[[(2R)-4-[[[(2R,3S,4R,5R)-5-(6-Amino-9-Purinyl)-4-Hydroxy-3-Phosphonooxy-2-Tetrahydrofuranyl]Methoxy-Hydroxyphosphoryl]Oxy-Hydroxyphosphoryl]Oxy-2-Hydroxy-3,3-Dimethyl-1-Oxobutyl]Amino]-1-Oxopropyl]Amino]Ethylthio]-3-Hydroxy-5-Oxopentanoic Acid; 5-[2-[3-[[(2R)-4-[[[(2R,3S,4R,5R)-5-(6-Aminopurin-9-Yl)-4-Hydroxy-3-Phosphonooxy-Tetrahydrofuran-2-Yl]Methoxy-Hydroxy-Phosphoryl]Oxy-Hydroxy-Phosphoryl]Oxy-2-Hydroxy-3,3-Dimethyl-Butanoyl]Amino]Propanoylamino]Ethylthio]-3-Hydroxy-5-Keto-Valeric Acid
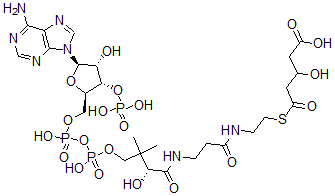
Molecular Structure CAS#: 35192-10-0, 5-[2-[3-[[(2R)-4-[[[(2R,3S,4R,5R)-5-(6-Aminopurin-9-Yl)-4-Hydroxy-3-Phosphonooxyoxolan-2-Yl]Methoxy-Hydroxyphosphoryl]Oxy-Hydroxyphosphoryl]Oxy-2-Hydroxy-3,3-Dimethylbutanoyl]Amino]Propanoylamino]Ethylsulfanyl]-3-Hydroxy-5-Oxopentanoic Acid
Molecular Formula C26H42N7O20P3S
Molecular Weight 897.63
CAS Registry Number 35192-10-0
SMILES [C@H]1(O[C@@H]([C@@H](O[P](=O)(O)O)[C@H]1O)CO[P](O[P](OCC([C@@H](O)C(=O)NCCC(=O)NCCSC(=O)CC(O)CC(=O)O)(C)C)(=O)O)(=O)O)[N]2C3=C(N=C2)C(=NC=N3)N
InChI 1S/C26H42N7O20P3S/c1-26(2,21(40)24(41)29-4-3-15(35)28-5-6-57-17(38)8-13(34)7-16(36)37)10-50-56(47,48)53-55(45,46)49-9-14-20(52-54(42,43)44)19(39)25(51-14)33-12-32-18-22(27)30-11-31-23(18)33/h11-14,19-21,25,34,39-40H,3-10H2,1-2H3,(H,28,35)(H,29,41)(H,36,37)(H,45,46)(H,47,48)(H2,27,30,31)(H2,42,43,44)/t13?,14-,19-,20-,21+,25-/m1/s1
InChIKey IIYZSYKTQRIPRG-MJBWAWCGSA-N
Properties
Density 1.927g/cm3 (Cal.)
Market Analysis Reports
List of Reports Available for 5-[2-[3-[[(2R)-4-[[[(2R,3S,4R,5R)-5-(6-Aminopurin-9-Yl)-4-Hydroxy-3-Phosphonooxyoxolan-2-Yl]Methoxy-Hydroxyphosphoryl]Oxy-Hydroxyphosphoryl]Oxy-2-Hydroxy-3,3-Dimethylbutanoyl]Amino]Propanoylamino]Ethylsulfanyl]-3-Hydroxy-5-Oxopentanoic Acid
Related Products
Sodium 2-Hydroxy-3-(4-Hydroxybut-2-Ynoxy...  7,7-Dimethyldodec-11-En-2-One  Dec-9-En-2-One  Ethyl Non-8-Enoate  1,2,3,4,5-Pentabromo-6-(2,3-Dibromopheny...  3-[4-(4-Chlorophenyl)-1,3-Thiazol-2-Yl]B...  6-Chloro-1-Hydroxy-2-(Trifluoromethyl)Im...  (1R,6S)-6-(2-Phenylethylcarbamoyl)Cycloh...  2-Methylbenzo[c]Acridine  3a,4,5,6,6a,7,7a,8a,8b,8c-Decahydro-4-hy...  3-Methylbenzo[E]Benzimidazol-2-Amine  O-Propan-2-Yl Methylsulfanylmethanethioa...  6-(Propan-2-Ylamino)-1H-1,3,5-Triazine-2...  8a-Ethynyl-2,3,5,6,7,8-Hexahydro-1H-Indo...  [(2S,8S,9R,10R,13R,14S,16S,17R)-2-Acetyl...