Online Database of Chemicals from Around the World

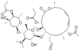
[(2S,3S,4R,6S)-6-[(2R,3S,4R,5R,6S)-6-[[(4R,5S,6S,7R,9R,10R,11E,13E,16R)-10-乙酰氧基-5-甲氧基-9,16-二甲基-2-氧代-7-(2-氧代乙基)-4-丙酰氧基-1-氧杂环十六碳-11,13-二烯-6-基]氧基]-4-二甲基氨基-5-羟基-2-甲基四氢吡喃-3-基]氧基-4-羟基-2,4-二甲基四氢吡喃-3-基]丙酸酯
[CAS# 35457-78-4]

供应商
CAS#: 35457-78-4
产品: [(2S,3S,4R,6S)-6-[(2R,3S,4R,5R,6S)-6-[[(4R,5S,6S,7R,9R,10R,11E,13E,16R)-10-乙酰氧基-5-甲氧基-9,16-二甲基-2-氧代-7-(2-氧代乙基)-4-丙酰氧基-1-氧杂环十六碳-11,13-二烯-6-基]氧基]-4-二甲基氨基-5-羟基-2-甲基四氢吡喃-3-基]氧基-4-羟基-2,4-二甲基四氢吡喃-3-基]丙酸酯
暂时没有厂家供应该产品。
基本信息
产品名称 [(2S,3S,4R,6S)-6-[(2R,3S,4R,5R,6S)-6-[[(4R,5S,6S,7R,9R,10R,11E,13E,16R)-10-乙酰氧基-5-甲氧基-9,16-二甲基-2-氧代-7-(2-氧代乙基)-4-丙酰氧基-1-氧杂环十六碳-11,13-二烯-6-基]氧基]-4-二甲基氨基-5-羟基-2-甲基四氢吡喃-3-基]氧基-4-羟基-2,4-二甲基四氢吡喃-3-基]丙酸酯
英文名 [(2S,3S,4R,6S)-6-[(2R,3S,4R,5R,6S)-6-[[(4R,5S,6S,7R,9R,10R,11E,13E,16R)-10-Acetyloxy-5-Methoxy-9,16-Dimethyl-2-Oxo-7-(2-Oxoethyl)-4-Propanoyloxy-1-Oxacyclohexadeca-11,13-Dien-6-Yl]Oxy]-4-Dimethylamino-5-Hydroxy-2-Methyloxan-3-Yl]Oxy-4-Hydroxy-2,4-Dimethyloxan-3-Yl] Propanoate
别名 [(2S,3S,4R,6S)-6-[(2R,3S,4R,5R,6S)-6-[[(4R,5S,6S,7R,9R,10R,11E,13E,16R)-10-Acetoxy-5-Methoxy-9,16-Dimethyl-2-Oxo-7-(2-Oxoethyl)-4-Propanoyloxy-1-Oxacyclohexadeca-11,13-Dien-6-Yl]Oxy]-4-Dimethylamino-5-Hydroxy-2-Methyl-Tetrahydropyran-3-Yl]Oxy-4-Hydroxy-2,4-Dimethyl-Tetrahydropyran-3-Yl] Propanoate; Propanoic Acid [(2S,3S,4R,6S)-6-[[(2R,3S,4R,5R,6S)-6-[[(4R,5S,6S,7R,9R,10R,11E,13E,16R)-10-Acetoxy-5-Methoxy-9,16-Dimethyl-2-Oxo-7-(2-Oxoethyl)-4-(1-Oxopropoxy)-1-Oxacyclohexadeca-11,13-Dien-6-Yl]Oxy]-4-Dimethylamino-5-Hydroxy-2-Methyl-3-Tetrahydropyranyl]Oxy]-4-Hydroxy-2,4-Dimethyl-3-Tetrahydropyranyl] Ester; Propionic Acid [(2S,3S,4R,6S)-6-[(2R,3S,4R,5R,6S)-6-[[(4R,5S,6S,7R,9R,10R,11E,13E,16R)-10-Acetoxy-2-Keto-7-(2-Ketoethyl)-5-Methoxy-9,16-Dimethyl-4-Propionyloxy-1-Oxacyclohexadeca-11,13-Dien-6-Yl]Oxy]-4-Dimethylamino-5-Hydroxy-2-Methyl-Tetrahydropyran-3-Yl]Oxy-4-Hydroxy-2,4-Dimethyl-Tetrahydropyran-3-Yl] Ester
分子结构 CAS 登录号:35457-78-4, [(2S,3S,4R,6S)-6-[(2R,3S,4R,5R,6S)-6-[[(4R,5S,6S,7R,9R,10R,11E,13E,16R)-10-乙酰氧基-5-甲氧基-9,16-二甲基-2-氧代-7-(2-氧代乙基)-4-丙酰氧基-1-氧杂环十六碳-11,13-二烯-6-基]氧基]-4-二甲基氨基-5-羟基-2-甲基四氢吡喃-3-基]氧基-4-羟基-2,4-二甲基四氢吡喃-3-基]丙酸酯
分子式 C43H69NO16
分子量 856.02
CAS 登录号 35457-78-4
分子行输入简码 SMILES [C@H]2(O[C@@H]([C@@H](O[C@@H]1O[C@H]([C@H](OC(=O)CC)[C@](O)(C1)C)C)[C@H](N(C)C)[C@H]2O)C)O[C@@H]3[C@@H](OC)[C@H](OC(=O)CC)CC(O[C@@H](C/C=C/C=C/[C@H](OC(=O)C)[C@@H](C[C@@H]3CC=O)C)C)=O
国际化学标识码 InChI 1S/C43H69NO16/c1-12-32(47)57-31-22-34(49)53-25(4)17-15-14-16-18-30(56-28(7)46)24(3)21-29(19-20-45)39(40(31)52-11)60-42-37(50)36(44(9)10)38(26(5)55-42)59-35-23-43(8,51)41(27(6)54-35)58-33(48)13-2/h14-16,18,20,24-27,29-31,35-42,50-51H,12-13,17,19,21-23H2,1-11H3/b15-14+,18-16+/t24-,25-,26-,27+,29+,30+,31-,35+,36-,37-,38-,39+,40+,41+,42+,43-/m1/s1
国际化学标识检索码 InChIKey YKKSEPVQMRNIJV-CCGCOWOLSA-N
物理化学性质
密度 1.214g/cm3 (计算值)
沸点 875.703°C at 760 mmHg (计算值)
闪点 483.408°C (计算值)
市场分析报告
请浏览[(2S,3S,4R,6S)-6-[(2R,3S,4R,5R,6S)-6-[[(4R,5S,6S,7R,9R,10R,11E,13E,16R)-10-乙酰氧基-5-甲氧基-9,16-二甲基-2-氧代-7-(2-氧代乙基)-4-丙酰氧基-1-氧杂环十六碳-11,13-二烯-6-基]氧基]-4-二甲基氨基-5-羟基-2-甲基四氢吡喃-3-基]氧基-4-羟基-2,4-二甲基四氢吡喃-3-基]丙酸酯市场分析报告总目录
相关产品
[6-[4-二甲基氨基-5-羟基-6-[[(11E...  (3S,8S,9S,10R,13R,14S,17R...  3,5-二氨基-4-羟基萘-2,7-二磺酸  14C-胸苷  8-氯-10-(3-甲基氨基丙基)吩噻嗪-3-醇  N-[4-(4-乙酰氨基-2-甲基苯基)-3-甲基...  2-二乙氧基硫代膦酰硫基-N,N-二(丙-2-烯基...  2-(噻吩-3-基甲硫基)乙酸钠  N-[4-(4-氨基-3-甲基苯基)-2-甲基苯基...  2-(乙酰氧基甲基)苯甲酸  5-乙基-6-苯基菲啶-5-鎓-3,8-二胺  1,3-苯二甲酸,聚合物与苯乙烯,2,5-呋喃二酮...  2-苯基萘  3,5,5-三甲基氮杂环庚烷  罗汉松内酯C