Online Database of Chemicals from Around the World

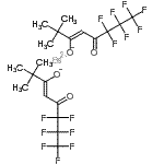
钡二[(3Z)-6,6,7,7,8,8,8-七氟-2,2-二甲基-5-氧代-3-辛烯-3-醇]
[CAS# 36885-31-1]

供应商
International Laboratory Limited 美国 询价快递  
+1 (650) 278-9963
admin@intlab.org
化学品生产商(2002 年起)
SynQuest Labs, Inc. 美国 询价快递  
+1 (386) 462-0788
info@synquestlabs.com
化学品生产商
Zylexa Pharma Ltd. 英国 询价快递  
+44 (845) 299-6009/
sales@zylexa-pharma.com,enquiries@zylexa-pharma.com
化学品生产商
基本信息
产品名称 钡二[(3Z)-6,6,7,7,8,8,8-七氟-2,2-二甲基-5-氧代-3-辛烯-3-醇]
英文名 Barium Bis[(3Z)-6,6,7,7,8,8,8-Heptafluoro-2,2-Dimethyl-5-Oxo-3-Octen-3-Olate]
别名 Barium(II) 2,2-dimethyl-6,6,7,7,8,8,8-heptafluorooctane-3,5-dionate; Bis(6,6,7,7,8,8,8-heptafluoro-2,2-dimethyl-3,5-octanedionate)barium
分子结构 CAS 登录号:36885-31-1, 钡二[(3Z)-6,6,7,7,8,8,8-七氟-2,2-二甲基-5-氧代-3-辛烯-3-醇]
分子式 C20H20BaF14O4
分子量 727.67
CAS 登录号 36885-31-1
分子行输入简码 SMILES [Ba+2].FC(F)(C(=O)/C=C(\[O-])C(C)(C)C)C(F)(F)C(F)(F)F.FC(F)(F)C(F)(F)C(F)(F)C(=O)/C=C(\[O-])C(C)(C)C
国际化学标识码 InChI 1S/2C10H11F7O2.Ba/c2*1-7(2,3)5(18)4-6(19)8(11,12)9(13,14)10(15,16)17;/h2*4,18H,1-3H3;/q;;+2/p-2/b2*5-4-;
国际化学标识检索码 InChIKey NCPWXEUADOWGIO-SJGYQHGCSA-L
物理化学性质
沸点 200.3°C at 760 mmHg (计算值)
闪点 74.9°C (计算值)
安全数据
SDS 化学品安全技术说明书参考文本
市场分析报告
请浏览钡二[(3Z)-6,6,7,7,8,8,8-七氟-2,2-二甲基-5-氧代-3-辛烯-3-醇]市场分析报告总目录
相关产品
氨基(3-羟基-4-甲氧基苯基)乙酸  4-{[(9H-芴-9-基甲氧基)羰基]氨基}-4...  1-[(9H-芴-9-基甲氧基)羰基]-3-({[...  3-{[(9H-芴-9-基甲氧基)羰基]氨基}-3...  1-苄基-4-{[(9H-芴-9-基甲氧基)羰基]...  N-(1,3-苯并噻唑-2-基)-2-氟丙烷酰胺  2-氟-N-(6-甲氧基-3-吡啶基)丙酰胺  N-{(2S,3R,4E)-3-羟基-1-[(3-...  (3aS,7aS)-3A-甲基八氢-1H-茚-1-...  (3aS)-3A-甲基-2,3,3A,4,5,6-...  (3S,3aR,7aS)-3-烯丙基-7a-甲基八...  3-乙酰基-4-甲基-2H-吡喃-2,6(3H)-...  (3Z)-3-(1-羟基乙亚基)-4-甲基-2H-...  (3Z)-3-(1-羟基乙亚基)-2H-吡喃-2,...  (3E)-3-(1-羟基乙亚基)-2H-吡喃-2,...