Online Database of Chemicals from Around the World

(8beta(S))-9,10-二去氢-N-(2-羟基-1-甲基乙基)-6-甲基-麦角灵-8-甲酰胺 (Z)-2-丁烯二酸盐 (1:1)与缩宫素的混合物
[CAS# 37209-62-4]

供应商
CAS#: 37209-62-4
产品: (8beta(S))-9,10-二去氢-N-(2-羟基-1-甲基乙基)-6-甲基-麦角灵-8-甲酰胺 (Z)-2-丁烯二酸盐 (1:1)与缩宫素的混合物
暂时没有厂家供应该产品。
基本信息
产品名称 (8beta(S))-9,10-二去氢-N-(2-羟基-1-甲基乙基)-6-甲基-麦角灵-8-甲酰胺 (Z)-2-丁烯二酸盐 (1:1)与缩宫素的混合物
英文名 (8beta(S))-9,10-Didehydro-N-(2-Hydroxy-1-Methylethyl)-6-Methyl-Ergoline-8-Carboxamide (Z)-2-Butenedioate (1:1) (Salt) Mixt. With Oxytocin
别名 Oxymetrin; Oxytocin, Mixt. With (8Beta)-9,10-Didehydro-N-(1S)-2-Hydroxy-1-Methylethyl)-6-Methylergoline-8-Carboxamide (2Z)-2-Butenedioate (1:1) (Salt); Syntometrine
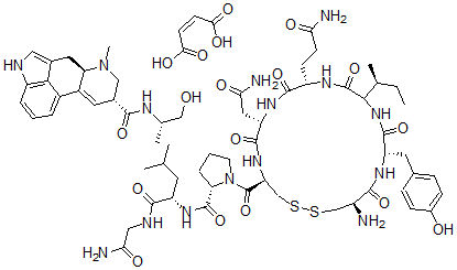
分子结构 CAS 登录号:37209-62-4, (8beta(S))-9,10-二去氢-N-(2-羟基-1-甲基乙基)-6-甲基-麦角灵-8-甲酰胺 (Z)-2-丁烯二酸盐 (1:1)与缩宫素的混合物
分子式 C66H93N15O18S2
分子量 1448.67
CAS 登录号 37209-62-4
分子行输入简码 SMILES [C@H]14N(C[C@@H](C=C1C2=CC=CC3=C2C(=C[NH]3)C4)C(=O)N[C@H](CO)C)C.[C@@H]7(N(C(=O)[C@H]5NC(=O)[C@@H](NC(=O)[C@@H](NC(=O)C(NC(=O)[C@@H](NC(=O)[C@@H](N)CSSC5)CC6=CC=C(O)C=C6)[C@H](CC)C)CCC(=O)N)CC(=O)N)CCC7)C(=O)N[C@H](C(=O)NCC(=O)N)CC(C)C.O=C(O)\C=C/C(=O)O
国际化学标识码 InChI 1S/C43H66N12O12S2.C19H23N3O2.C4H4O4/c1-5-22(4)35-42(66)49-26(12-13-32(45)57)38(62)51-29(17-33(46)58)39(63)53-30(20-69-68-19-25(44)36(60)50-28(40(64)54-35)16-23-8-10-24(56)11-9-23)43(67)55-14-6-7-31(55)41(65)52-27(15-21(2)3)37(61)48-18-34(47)59;1-11(10-23)21-19(24)13-6-15-14-4-3-5-16-18(14)12(8-20-16)7-17(15)22(2)9-13;5-3(6)1-2-4(7)8/h8-11,21-22,25-31,35,56H,5-7,12-20,44H2,1-4H3,(H2,45,57)(H2,46,58)(H2,47,59)(H,48,61)(H,49,66)(H,50,60)(H,51,62)(H,52,65)(H,53,63)(H,54,64);3-6,8,11,13,17,20,23H,7,9-10H2,1-2H3,(H,21,24);1-2H,(H,5,6)(H,7,8)/b;;2-1-/t22-,25-,26-,27-,28-,29-,30-,31-,35?;11-,13+,17+;/m00./s1
国际化学标识检索码 InChIKey CEDGTLOSFDBJKR-KVXRPJDVSA-N
物理化学性质
沸点 1533.3°C at 760 mmHg (计算值)
闪点 881.1°C (计算值)
市场分析报告
请浏览(8beta(S))-9,10-二去氢-N-(2-羟基-1-甲基乙基)-6-甲基-麦角灵-8-甲酰胺 (Z)-2-丁烯二酸盐 (1:1)与缩宫素的混合物市场分析报告总目录
相关产品
2-[1-[4-(2-氰基-4-硝基苯基)偶氮苯基...  etacryl  Primosiston  2-氨基庚二酸  2-氨基壬二酸  丹磺酰磷脂酰乙醇胺  血管活性肠肽  (2S)-2-氨基-5,5,5-三氟-4-甲基戊酸  三(羟基甲基)十八烷基脲  3-羟基-7,8,9,10-四氢苯并[c]苯并吡喃...  锌钾铬酸盐  3-甲氧基氧杂蒽-9-酮  1,3,7-三甲氧基氧杂蒽-9-酮  (E)-1,1,1,5,5,5-六氟-4-甲基戊-...  1-溴-4-[3-(4-溴苯氧基)丙氧基]苯