Online Database of Chemicals from Around the World

[(2R,3R,4S,5R)-2-羟基-5-[(2S,3R,4S,5R)-5-羟基-3,4-二磺基氧基四氢吡喃-2-基]氧基-3-磺基氧基四氢吡喃-4-基]氢硫酸盐
[CAS# 37300-21-3]

供应商
CAS#: 37300-21-3
产品: [(2R,3R,4S,5R)-2-羟基-5-[(2S,3R,4S,5R)-5-羟基-3,4-二磺基氧基四氢吡喃-2-基]氧基-3-磺基氧基四氢吡喃-4-基]氢硫酸盐
暂时没有厂家供应该产品。
基本信息
产品名称 [(2R,3R,4S,5R)-2-羟基-5-[(2S,3R,4S,5R)-5-羟基-3,4-二磺基氧基四氢吡喃-2-基]氧基-3-磺基氧基四氢吡喃-4-基]氢硫酸盐
英文名 [(2R,3R,4S,5R)-2-Hydroxy-5-[(2S,3R,4S,5R)-5-Hydroxy-3,4-Disulfooxyoxan-2-Yl]Oxy-3-Sulfooxyoxan-4-Yl] Hydrogen Sulfate
别名 [(2R,3R,4S,5R)-2-Hydroxy-5-[(2S,3R,4S,5R)-5-Hydroxy-3,4-Disulfooxy-Tetrahydropyran-2-Yl]Oxy-3-Sulfooxy-Tetrahydropyran-4-Yl] Hydrogen Sulfate; [(2R,3R,4S,5R)-2-Hydroxy-5-[[(2S,3R,4S,5R)-5-Hydroxy-3,4-Disulfooxy-2-Tetrahydropyranyl]Oxy]-3-Sulfooxy-4-Tetrahydropyranyl] Hydrogen Sulfate; [(2R,3R,4S,5R)-2-Hydroxy-5-[(2S,3R,4S,5R)-5-Hydroxy-3,4-Disulfoxy-Tetrahydropyran-2-Yl]Oxy-3-Sulfoxy-Tetrahydropyran-4-Yl] Hydrogen Sulfate
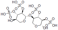
分子结构 CAS 登录号:37300-21-3, [(2R,3R,4S,5R)-2-羟基-5-[(2S,3R,4S,5R)-5-羟基-3,4-二磺基氧基四氢吡喃-2-基]氧基-3-磺基氧基四氢吡喃-4-基]氢硫酸盐
分子式 C10H18O21S4
分子量 602.48
CAS 登录号 37300-21-3
分子行输入简码 SMILES [C@@H]2([C@H](O[C@H]1[C@@H]([C@H]([C@@H](CO1)O)O[S](O)(=O)=O)O[S](O)(=O)=O)CO[C@H]([C@@H]2O[S](O)(=O)=O)O)O[S](O)(=O)=O
国际化学标识码 InChI 1S/C10H18O21S4/c11-3-1-26-10(8(31-35(22,23)24)5(3)28-32(13,14)15)27-4-2-25-9(12)7(30-34(19,20)21)6(4)29-33(16,17)18/h3-12H,1-2H2,(H,13,14,15)(H,16,17,18)(H,19,20,21)(H,22,23,24)/t3-,4-,5+,6+,7-,8-,9-,10+/m1/s1
国际化学标识检索码 InChIKey FCCNSUIJIOOXEZ-SJYYZXOBSA-N
物理化学性质
密度 2.268g/cm3 (计算值)
市场分析报告
请浏览[(2R,3R,4S,5R)-2-羟基-5-[(2S,3R,4S,5R)-5-羟基-3,4-二磺基氧基四氢吡喃-2-基]氧基-3-磺基氧基四氢吡喃-4-基]氢硫酸盐市场分析报告总目录
相关产品
2-丙烯酸,2-羟基乙基酯与1,3-二异氰酸甲基苯...  6-氨基己酰胺  4-(2-硝基丁基)吗啉4,4'-(2-乙基-硝基...  乙基2-二乙氧基磷酰-3-氧代丁酸酯  七硝酰基三-mu3-硫代四高铁酸盐  甲基 (1R,4aR)-7-乙烯基-1,4a,7-...  6-氟己酸  (E)-3-[4-[(5Z)-3,4-二羟基-5-...  N-(4-氟丁基)乙酰胺  4-氟丁基乙酸酯  甲基-环氧乙烷与环氧乙烷己二酸盐的聚合物  聚氧丙烯(8)聚氧乙烯(5)鲸蜡基醚  S-(4-氟丁基)硫代乙酸酯  环氧氯丙烷,双酚A,甲苯二异氰酸酯聚合物  [(2R,3S,5R)-3-羟基-5-(5-碘-2...