Online Database of Chemicals from Around the World

[(2R,3S,4R,5R)-3,4-二羟基-5-(9H-咪唑并[2,1-f]嘌呤-6-鎓-3-基)四氢呋喃-2-基]甲基[[(2S,3R,4R)-5-(7,8-二甲基-2,4-二氧代苯并[g]蝶啶-10-基)-2,3,4-三羟基戊氧基]-羟基磷酰]磷酸氢酯氯化物
[CAS# 38628-24-9]

供应商
CAS#: 38628-24-9
产品: [(2R,3S,4R,5R)-3,4-二羟基-5-(9H-咪唑并[2,1-f]嘌呤-6-鎓-3-基)四氢呋喃-2-基]甲基[[(2S,3R,4R)-5-(7,8-二甲基-2,4-二氧代苯并[g]蝶啶-10-基)-2,3,4-三羟基戊氧基]-羟基磷酰]磷酸氢酯氯化物
暂时没有厂家供应该产品。
基本信息
产品名称 [(2R,3S,4R,5R)-3,4-二羟基-5-(9H-咪唑并[2,1-f]嘌呤-6-鎓-3-基)四氢呋喃-2-基]甲基[[(2S,3R,4R)-5-(7,8-二甲基-2,4-二氧代苯并[g]蝶啶-10-基)-2,3,4-三羟基戊氧基]-羟基磷酰]磷酸氢酯氯化物
英文名 [(2R,3S,4R,5R)-3,4-Dihydroxy-5-(9H-Imidazo[2,1-f]Purin-6-Ium-3-Yl)Oxolan-2-Yl]Methyl [[(2S,3R,4R)-5-(7,8-Dimethyl-2,4-Dioxobenzo[g]Pteridin-10-Yl)-2,3,4-Trihydroxypentoxy]-Hydroxyphosphoryl] Hydrogen Phosphate Chloride
别名 [(2R,3S,4R,5R)-3,4-Dihydroxy-5-(9H-Imidazo[2,1-F]Purin-6-Ium-3-Yl)Tetrahydrofuran-2-Yl]Methyl [[(2S,3R,4R)-5-(7,8-Dimethyl-2,4-Dioxo-Benzo[G]Pteridin-10-Yl)-2,3,4-Trihydroxy-Pentoxy]-Hydroxy-Phosphoryl] Hydrogen Phosphate Chloride; [(2R,3S,4R,5R)-3,4-Dihydroxy-5-(9H-Imidazo[2,1-F]Purin-6-Ium-3-Yl)-2-Tetrahydrofuranyl]Methyl [[(2S,3R,4R)-5-(7,8-Dimethyl-2,4-Dioxo-10-Benzo[G]Pteridinyl)-2,3,4-Trihydroxypentoxy]-Hydroxyphosphoryl] Hydrogen Phosphate Chloride; [(2R,3S,4R,5R)-3,4-Dihydroxy-5-(9H-Imidazo[2,1-F]Purin-6-Ium-3-Yl)Tetrahydrofuran-2-Yl]Methyl [[(2S,3R,4R)-5-(2,4-Diketo-7,8-Dimethyl-Benzo[G]Pteridin-10-Yl)-2,3,4-Trihydroxy-Pentoxy]-Hydroxy-Phosphoryl] Hydrogen Phosphate Chloride
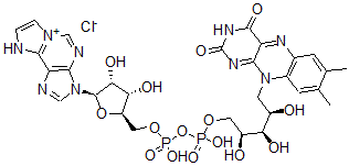
分子结构 CAS 登录号:38628-24-9, [(2R,3S,4R,5R)-3,4-二羟基-5-(9H-咪唑并[2,1-f]嘌呤-6-鎓-3-基)四氢呋喃-2-基]甲基[[(2S,3R,4R)-5-(7,8-二甲基-2,4-二氧代苯并[g]蝶啶-10-基)-2,3,4-三羟基戊氧基]-羟基磷酰]磷酸氢酯氯化物
分子式 C29H34ClN9O15P2
分子量 846.04
CAS 登录号 38628-24-9
分子行输入简码 SMILES [C@@H]1(O)[C@H](O)[C@H](O[C@H]1[N]2C3=C(N=C2)C4=[N+](C=N3)C=C[NH]4)CO[P](O[P](OC[C@H](O)[C@H](O)[C@H](O)CN5C7=C(N=C6C5=NC(=O)NC6=O)C=C(C(=C7)C)C)(O)=O)(O)=O.[Cl-]
国际化学标识码 InChI 1S/C29H33N9O15P2.ClH/c1-12-5-14-15(6-13(12)2)37(26-20(33-14)27(44)35-29(45)34-26)7-16(39)21(41)17(40)8-50-54(46,47)53-55(48,49)51-9-18-22(42)23(43)28(52-18)38-11-31-19-24-30-3-4-36(24)10-32-25(19)38;/h3-6,10-11,16-18,21-23,28,39-43H,7-9H2,1-2H3,(H3,35,44,45,46,47,48,49);1H/t16-,17+,18-,21-,22-,23-,28-;/m1./s1
国际化学标识检索码 InChIKey JLWOWKGKKFQUID-ZBMPBUKJSA-N
市场分析报告
请浏览[(2R,3S,4R,5R)-3,4-二羟基-5-(9H-咪唑并[2,1-f]嘌呤-6-鎓-3-基)四氢呋喃-2-基]甲基[[(2S,3R,4R)-5-(7,8-二甲基-2,4-二氧代苯并[g]蝶啶-10-基)-2,3,4-三羟基戊氧基]-羟基磷酰]磷酸氢酯氯化物市场分析报告总目录
相关产品
2-[2-(4-溴苯基)磺酰基肼基]-2-氧代-N...  (2S,3S,4S,5R,6S)-6-[4-(2-...  [(2R,3R,4R,5R,6R)-3-乙酰氨基-...  [2-[(11S,17R)-11,17-二羟基-1...  4-[4-[二(2-氯乙基)氨基]苯氧基]-N,N...  (5R)-5-[(3R,5S,7R,8R,9S,1...  [4-(4,6-二甲基庚烷-2-基)苯基]二苯基磷...  5'-肌苷酸,均聚物与5'-胞苷酸聚合物与5'-尿...  1-(2,2-二甲基丙基)萘  1-(2-氯萘-1-基)-N-(2,6-二甲基吡啶...  1-(氯甲基)苯并咪唑  哌啶-2-基-[2-(三氟甲基)菲-9-基]甲醇盐...  N-[3-(1-金刚烷基氨基)丙基]-4-氨基-2...  1-[4-[2-羟基-3-(丙-2-基氨基)丙氧基...  1-[4-[3-(叔丁基氨基)-2-羟基丙氧基]苯...