Online Database of Chemicals from Around the World

3-(2-Butenyloxyiminomethyl)Rifamycin
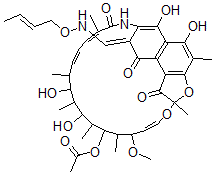
[CAS# 41887-54-1]

Suppliers
CAS#: 41887-54-1
Product: 3-(2-Butenyloxyiminomethyl)Rifamycin
No suppilers available for the product.
Identification
Name 3-(2-Butenyloxyiminomethyl)Rifamycin
Synonyms 3-Formylrifamycin Sv O-(2-Butenyl)Oxime; Brn 5418388
Molecular Structure CAS#: 41887-54-1, 3-(2-Butenyloxyiminomethyl)Rifamycin
Molecular Formula C42H54N2O13
Molecular Weight 794.89
CAS Registry Number 41887-54-1
SMILES C(ON/C=C2/C(=O)C1=C3C(=C(C4=C1C(=O)C(O/C=C/C(OC)C(C(OC(=O)C)C(C(O)C(C(O)C(C)\C=C\C=C(C(=O)NC2=C3O)\C)C)C)C)(O4)C)C)O)\C=C\C
InChI 1S/C42H54N2O13/c1-11-12-17-55-43-19-27-32-37(50)30-29(36(27)49)31-39(25(7)35(30)48)57-42(9,40(31)51)54-18-16-28(53-10)22(4)38(56-26(8)45)24(6)34(47)23(5)33(46)20(2)14-13-15-21(3)41(52)44-32/h11-16,18-20,22-24,28,33-34,38,43,46-48,50H,17H2,1-10H3,(H,44,52)/b12-11+,14-13+,18-16+,21-15-,27-19+
InChIKey HCKYHOGUZPAPDE-HTIOBLFESA-N
Market Analysis Reports
List of Reports Available for 3-(2-Butenyloxyiminomethyl)Rifamycin
Related Products
3-[[[(3,7,11-Trimethyl-2,6,10-Dodecatrie...  3-[(2-Ethoxyethoxy)Iminomethyl]Rifamycin...  1-Benzothiepin 1,1-Dioxide  Acetic Acid 3-(2-Methyl-5-Oxo-2-Oxazolin...  Benzoyl Norecgonine  2-Ethylbutanoic Acid 2,2,2-Trichloroethy...  2-(Decylthio)Ethanol  2,2'-[Dodecane-1,12-Diylbis(Thio)]Biseth...  (3-Chloro-2-Hydroxypropyl)Dodecyldimethy...  Sodium 1-Ethyl Oxosuccinate  3-Amino-4-(Diethylamino)Benzenesulfonami...  2-Hydroxypropyl Bromoacetate  2,5-Dihydro-1H-Pyrazol-3-Amine Dihydroch...  3b,16b-Bis(Acetyloxy)-14,15b-Epoxy-5-Hyd...  N-Phosphotaurocyamine