Online Database of Chemicals from Around the World

3-[(2-Isopropoxyethoxy)Iminomethyl]Rifamycin SV
[CAS# 41970-62-1]

Suppliers
CAS#: 41970-62-1
Product: 3-[(2-Isopropoxyethoxy)Iminomethyl]Rifamycin SV
No suppilers available for the product.
Identification
Name 3-[(2-Isopropoxyethoxy)Iminomethyl]Rifamycin SV
Synonyms 3-Formylrifamycin Sv O-(2-Isopropoxyethyl)Oxime; Brn 5418515
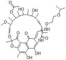
Molecular Structure CAS#: 41970-62-1, 3-[(2-Isopropoxyethoxy)Iminomethyl]Rifamycin SV
Molecular Formula C43H58N2O14
Molecular Weight 826.94
CAS Registry Number 41970-62-1
SMILES C(ON/C=C2/C(=O)C1=C3C(=C(C4=C1C(=O)C(O/C=C/C(OC)C(C(OC(=O)C)C(C(O)C(C(O)C(C)\C=C\C=C(C(=O)NC2=C3O)\C)C)C)C)(O4)C)C)O)COC(C)C
InChI 1S/C43H58N2O14/c1-20(2)55-17-18-57-44-19-28-33-38(51)31-30(37(28)50)32-40(26(8)36(31)49)59-43(10,41(32)52)56-16-15-29(54-11)23(5)39(58-27(9)46)25(7)35(48)24(6)34(47)21(3)13-12-14-22(4)42(53)45-33/h12-16,19-21,23-25,29,34-35,39,44,47-49,51H,17-18H2,1-11H3,(H,45,53)/b13-12+,16-15+,22-14-,28-19+
InChIKey BNYLZJKVKIHHRZ-CIMIRZFZSA-N
Market Analysis Reports
List of Reports Available for 3-[(2-Isopropoxyethoxy)Iminomethyl]Rifamycin SV
Related Products
3-[(2-Methyl-2-Propenyl)Oxyiminomethyl]R...  3-[(4-Phenoxybutoxy)Iminomethyl]Rifamyci...  3-[(2,4-Dichlorobenzyloxy)Iminomethyl]Ri...  10-[2-(Dimethylamino)Ethyl]-5H-Dibenz[b,...  Trisodium 2-[(4-Chloro-6-Methoxy-1,3,5-T...  2-Butylhydroquinone  2-Butyl-p-Benzoquinone  1-Butyl-1-Methyl-2-Propylcyclopropane  1-Methyl-1-(1-Methylethyl)-2-Nonylcyclop...  1-Methyl-1-(2-Methylpropyl)-2-Nonylcyclo...  7-Pentylbicyclo[4.1.0]Heptane  2-Isobutyl-p-Benzoquinone  Piperidine-2,6-Dicarbonitrile  5,5'-(Propane-1,3-Diyl)Bisimidazolidine-...  4-Propylthiazole